ГДЗ Алгебра Шыныбеков 10 ЕМН класс 2019 Упражнение 7.26
Предмет: Алгебра
Издательство: Атамура
Язык: Казахский
Год: 2019
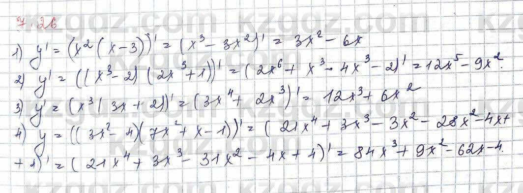
Раздел 7. Производная и ее применение, 7.2. Правила дифференцирования, Упражнение, 7.26

Предмет: Алгебра
Издательство: Атамура
Язык: Казахский
Год: 2019