ГДЗ Алгебра Шыныбеков 10 ЕМН класс 2019 Упражнение 7.83

Предмет: Алгебра

Издательство: Атамура

Язык: Казахский

Год: 2019

Раздел 7. Производная и ее применение, 7.4. Применение произвол ею и в исследовании функции, Упражнение, 7.83

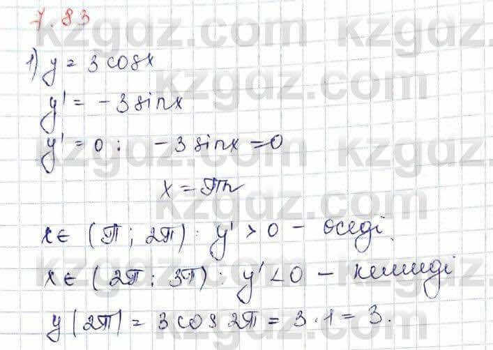
Алгебра Шыныбеков 10 ЕМН класс 2019 Упражнение 7.831 Алгебра Шыныбеков 10 ЕМН класс 2019 Упражнение 7.831

Раздел 0 Повторение материала, пройденного в 7 9 классах

Упражнения

0.1 0.2 0.3 0.4 0.5 0.6 0.7 0.8 0.9 0.1 0.11 0.12 0.13 0.14 0.15 0.16 0.17 0.18 0.19 0.2 0.21 0.22 0.23 0.24 0.25 0.26 0.27 0.28 0.29 0.3 0.31 0.32 0.33 0.34 0.35 0.36 0.37 0.38 0.39 0.4 0.41 0.42 0.43 0.44 0.45 0.46 0.47 0.48 0.49 0.5

Раздел 1. Функция, ее свойства и график

1.1. Понятие функции и способы ее задания

Упражнения

1.1 1.2 1.3 1.4 1.5 1.6 1.7 1.8 1.9 1.1 1.11 1.12 1.13 1.14 1.15 1.16 1.17 1.18 1.19 1.2 1.21 1.22 1.23 1.24 1.25 1.26 1.27 1.28

1.2. Некоторые свойства функции

Упражнения

1.29 1.3 1.31 1.32 1.33 1.34 1.35 1.36 1.37 1.38 1.39 1.4 1.41 1.42 1.43 1.44 1.45 1.46 1.47 1.48 1.49 1.5 1.51 1.52 1.53 1.54 1.55 1.56 1.57 1.58 1.59 1.6 1.61

1.3. Простейшая схема исследования функции

Упражнения

1.62 1.63 1.64 1.65 1.66 1.67 1.68 1.69 1.7 1.71 1.72 1.73

1.4. Простейшие преобразования графиков функций

Упражнения

1.74 1.75 1.76 1.77 1.78 1.79 1.8 1.81 1.82 1.83 1.84 1.85 1.86 1.87

1.5. Сложные и обратные функции

Упражнения

1.88 1.89 1.9 1.91 1.92 1.93 1.94 1.95 1.96 1.97 1.98 1.99 1.1 1.101 1.102 1.103 1.104

Раздел 2. Тригонометрические функции

2.1. Исследование свойств основных тригонометрических функций

Упражнения

2.1 2.2 2.3 2.4 2.5 2.6 2.7 2.8 2.9 2.1 2.11 2.12 2.13 2.14 2.15 2.16 2.17 2.18 2.19 2.2

2.2. Примеры построения графиков некоторых тригона метрических функций

Упражнения

2.21 2.22 2.23 2.24 2.25 2.26 2.27 2.28 2.29

2.3. Обратные тригонометрические функции

Упражнения

2.3 2.31 2.32 2.33 2.34 2.35 2.36 2.37 2.38 2.39 2.4 2.41

Раздел 3. Тригонометрические уравнения и их системы

3.1. Тригонометрические уравнения

Упражнения

3.1 3.2 3.3 3.4 3.5 3.6 3.7 3.8 3.9 3.1 3.11 3.12 3.13 3.14 3.15 3.16 3.17 3.18 3.19 3.2 3.21 3.22 3.23 3.24 3.25 3.26 3.27 3.28 3.29 3.3 3.31 3.32 3.33 3.34 3.35 3.36 3.37 3.38 3.39 3.4 3.41

3.2. Решение систем тригонометрических уравнений

Упражнения

3.42 3.43 3.44 3.45 3.46 3.47 3.48 3.49 3.5 3.51

3.3. Обратные тригонометрические уравнения

Упражнения

3.52 3.53 3.54 3.55 3.56 3.57 3.58 3.59 3.6 3.61 3.62 3.63

3.4. Тригонометрические неравенства

Упражнения

3.64 3.65 3.66 3.67 3.68 3.69 3.7 3.71 3.72 3.73 3.74 3.75 3.76 3.77 3.78 3.79 3.8 3.81 3.82

Раздел 4. Вероятность

4.1. Элементы комбинаторики. Бином Ньютона

Упражнения

4.1 4.2 4.3 4.4 4.5 4.6 4.7 4.8 4.9 4.1 4.11 4.12 4.13 4.14 4.15 4.16 4.17 4.18 4.19 4.2 4.21 4.22 4.23 4.24 4.25 4.26 4.27 4.28 4.29 4.3 4.31 4.32 4.33 4.34 4.35 4.36 4.37 4.38 4.39 4.4 4.41 4.42 4.43 4.44 4.45 4.46 4.47 4.48 4.49

4.2. Алгебра событий и классическое определение вероятности

Упражнения

4.5 4.51 4.52 4.53 4.54 4.55 4.56 4.57 4.58 4.59 4.6 4.61 4.62 4.63 4.64 4.65 4.66 4.67 4.68 4.69 4.7 4.71 4.72 4.73 4.74 4.75 4.76 4.77 4.78 4.79 4.8 4.81 4.82 4.83 4.84

4.3. Полная вероятность события. Формула Байеса

Упражнения

4.85 4.86 4.87 4.88 4.89 4.9 4.91 4.92 4.93 4.94 4.95 4.96 4.97 4.98 4.99 4.1 4.101 4.102 4.103

4.4. Формула Бернулли. Понятие закона больших чисел

Упражнения

4.104 4.105 4.106 4.107 4.108 4.109 4.11 4.111 4.112 4.113 4.114 4.115 4.116 4.117 4.118 4.119 4.12 4.121 4.122 4.123 4.124 4.125 4.126 4.127 4.128 4.129 4.13 4.131 4.132 4.133 4.134 4.135

Раздел 5. Многочлены

5.1. Многочлены с несколькими переменными

Упражнения

5.1 5.2 5.3 5.4 5.5 5.6 5.7 5.8 5.1 5.11 5.12 5.13 5.14 5.15

5.2. Общий вид многочлена с одной переменной и нахождение его корней

Упражнения

5.16 5.17 5.18 5.19 5.2 5.21 5.22 5.23 5.24 5.25 5.26 5.27 5.28 5.29 5.3 5.31 5.32 5.33 5.34 5.35

5.4. Формула Виета

Упражнения

5.36 5.37 5.38 5.39 5.4 5.41 5.42 5.43 5.44 5.45 5.46 5.47 5.48 5.49 5.5 5.51 5.52 5.53 5.54 5.55 5.56 5.57 5.58 5.59 5.6 5.61 5.62 5.63 5.64 5.65 5.66

5.5. Решение уравнений высшего порядка

Упражнения

5.67 5.68 5.69 5.7 5.71 5.72 5.73 5.74 5.75 5.76 5.77 5.78 5.79 5.8 5.81 5.82 5.83 5.84 5.85

Раздел 6. Предел и непрерывность

6.1. Предел функции в точке

Упражнения

6.1 6.2 6.3 6.4 6.5 6.6 6.7 6.8 6.9 6.1 6.11 6.12 6.13 6.14 6.15 6.16 6.17 6.18 6.19 6.2 6.21 6.22 6.23 6.24 6.25 6.26 6.27 6.28 6.29

6.2. Предел числовой последовательности

Упражнения

6.3 6.31 6.32 6.34 6.36 6.37 6.38 6.39 6.4 6.41 6.42 6.43 6.44 6.45 6.46 6.47 6.48 6.49 6.5 6.51 6.52 6.53 6.54 6.55 6.56 6.57 6.58 6.59 6.6

6.3. Непрерывность функции

Упражнения

6.61 6.62 6.63 6.64 6.65 6.66 6.67 6.68 6.69 6.7 6.71 6.72 6.73 6.74 6.75 6.76 6.77 6.78 6.79 6.8 6.81 6.82 6.83 6.84 6.85 6.86

Раздел 7. Производная и ее применение

7.1. Производная и дифференциал функции

Упражнения

7.1 7.2 7.3 7.4 7.5 7.6 7.7 7.8 7.9 7.1 7.11 7.12 7.13 7.14 7.15 7.16 7.17 7.18 7.19 7.2 7.21 7.22 7.23 7.24

7.2. Правила дифференцирования

Упражнения

7.25 7.26 7.27 7.28 7.29 7.3 7.31 7.32 7.33 7.34 7.35 7.36 7.37 7.38 7.39 7.4 7.41 7.42 7.43 7.44 7.45 7.46 7.47 7.48

7.3. Производные сложной и обратной функций

Упражнения

7.49 7.5 7.51 7.52 7.53 7.54 7.55 7.56 7.57 7.58 7.59 7.6 7.61 7.62 7.63 7.64 7.65 7.66 7.67 7.68 7.69 7.7 7.71 7.72 7.73 7.74 7.75 7.76

7.4. Применение произвол ею и в исследовании функции

Упражнения

7.77 7.78 7.79 7.8 7.81 7.82 7.83 7.84 7.85 7.86 7.87 7.88 7.89 7.9 7.91 7.92 7.93 7.94 7.95 7.96 7.97 7.98 7.99 7.1

7.5. Упрощенная схема исследования и построения графика функции

Упражнения

7.101 7.102 7.103 7.104 7.105 7.106 7.107 7.108 7.109 7.11 7.111 7.112 7.113 7.114 7.115 7.116 7.117 7.118 7.119 7.12 7.121 7.122 7.123 7.124 7.125 7.126 7.127

7.6. Полная схема исследования функции и построения ее графика

Упражнения

7.128 7.129 7.13 7.131 7.132 7.133 7.134 7.135 7.136 7.137 7.138 7.139 7.14 7.141 7.142 7.143

Раздел 8. Случайные величины

8.1. Случайные величины и их числовые характеристики

Упражнения

8.1 8.2 8.3 8.4 8.5 8.6 8.7 8.8 8.9 8.1 8.11 8.12 8.13 8.14 8.15 8.16 8.17 8.18 8.19 8.2 8.21 8.22 8.23 8.24

8.2. Виды некоторых дискретных случайных величин (СВ)

Упражнения

8.25 8.26 8.27 8.28 8.29 8.3 8.31 8.32 8.33 8.34 8.35 8.36 8.37 8.38 8.39 8.4 8.41 8.42 8.43 8.44 8.45 8.46 8.47