ГДЗ Геометрия Шыныбеков 10 ЕМН класс 2019 Упражнение 3.93

Предмет: Геометрия

Издательство: Атамура

Язык: Казахский

Год: 2019

РАЗДЕЛ 3 Прямоугольная система координат в пространстве и векторы, 3.4. Уравнение плоскости. Задание пространственных фигур. уравнениями и неравенствами, Упражнение, 3.93

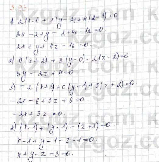
Геометрия Шыныбеков 10 ЕМН класс 2019 Упражнение 3.931

РАЗДЕЛ 0 Вопросы и упражнения для повторения курса планиметрии

Упражнения

0.1 0.2 0.3 0.4 0.5 0.6 0.7 0.8 0.9 0.1 0.11 0.12 0.13 0.14 0.15 0.16 0.17 0.18 0.19 0.2 0.21 0.22 0.23 0.24 0.25 0.26 0.27 0.28 0.29 0.3 0.31 0.32 0.33 0.34 0.35 0.36 0.37 0.38 0.39 0.4

РАЗДЕЛ 1. Аксиомы, стереометрии. Параллельность в пространстве

1.1. Аксиомы стереометрии и их следствия

Упражнения

1.1 1.2 1.3 1.4 1.5 1.6 1.7 1.8 1.9 1.1 1.11 1.12 1.13 1.14 1.15 1.16 1.17 1.18 1.19 1.2 1.21 1.22 1.23

1.3. Тетраэдр и параллелепипед

Упражнения

1.24 1.25 1.26 1.27 1.28 1.29 1.3 1.31 1.32 1.33 1.34 1.35 1.36 1.37 1.38 1.39 1.4 1.41 1.42 1.43 1.44 1.45 1.46 1.47 1.48 1.49

1.4. Расположение двух плоскостей относительно друг друга

Упражнения

1.5 1.51 1.52 1.53 1.54 1.55 1.56 1.57 1.58 1.59 1.6 1.61 1.62 1.63 1.64 1.65 1.66 1.67 1.68 1.69 1.7 1.71 1.72

РАЗДЕЛ 2 Перпендикулярность в пространстве

2.1. Перпендикулярность прямой и плоскости

Упражнения

2.1 2.2 2.3 2.4 2.5 2.6 2.7 2.8 2.9 2.1 2.11 2.12 2.13 2.14 2.15 2.16 2.17 2.18 2.19 2.2 2.21 2.22 2.23 2.24 2.25 2.26 2.27 2.28 2.29 2.3

2.2. Теорема о трех перпендикулярах

Упражнения

2.31 2.32 2.33 2.34 2.35 2.36 2.37 2.38 2.39 2.4 2.41 2.42 2.43 2.44 2.45 2.46 2.47 2.48 2.49 2.5 2.51 2.52 2.53 2.54 2.55 2.56 2.57 2.58 2.59 2.6

2.3. Угол между прямой и плоскостью. Двугранные углы

Упражнения

2.61 2.62 2.63 2.64 2.65 2.66 2.67 2.68 2.69 2.7 2.71 2.72 2.73 2.74 2.75 2.76 2.77 2.78 2.79 2.8 2.81 2.82 2.83 2.84 2.85 2.86 2.87 2.88

2.4. Изображение пространственных фигурьна плоскости

Упражнения

2.89 2.9 2.91 2.92 2.93 2.94 2.95 2.96 2.97 2.98 2.99 2.1 2.101 2.102 2.103 2.104 2.105 2.106 2.107 2.108 2.109 2.11 2.111 2.112 2.113 2.114 2.115

РАЗДЕЛ 3 Прямоугольная система координат в пространстве и векторы

3.1. Понятие вектора в пространстве. действия над векторами

Упражнения

3.2 3.3 3.4 3.5 3.6 3.8 3.9 3.1 3.11 3.12 3.13 3.14 3.15 3.16 3.17 3.18 3.19 3.2 3.21 3.22 3.23 3.24 3.25 3.26 3.27 3.28 3.29 3.3

3.2. Координаты

Упражнения

3.31 3.32 3.33 3.34 3.35 3.36 3.37 3.38 3.39 3.4 3.41 3.42 3.43 3.44 3.45 3.46 3.48 3.49 3.5 3.51 3.52 3.53 3.54 3.55 3.56 3.57 3.58 3.59 3.6 3.61 3.62 3.63 3.64 3.65 3.66

3.3. Скалярное произведение векторов. Деление отрезкаьв данном отношении

Упражнения

3.67 3.68 3.69 3.7 3.71 3.72 3.73 3.74 3.75 3.76 3.77 3.78 3.79 3.8 3.81 3.82 3.83 3.84 3.85 3.86 3.87 3.88 3.89 3.9 3.91 3.92

3.4. Уравнение плоскости. Задание пространственных фигур. уравнениями и неравенствами

Упражнения

3.93 3.94 3.95 3.96 3.97 3.98 3.99 3.1 3.101 3.102 3.103 3.104 3.105 3.106 3.107 3.108 3.109 3.11 3.111 3.112

3.5. Уравнение прямой в пространстве

Упражнения

3.113 3.114 3.115 3.116 3.117 3.118 3.119 3.12 3.121

3.6. Применение векторов при решении задач

Упражнения

3.122 3.123 3.124 3.125 3.126 3.127 3.128 3.129 3.13 3.131 3.132 3.133 3.134 3.135 3.136 3.137 3.138