ГДЗ Химия Оспанова 10 ЕМН класс 2019 Вопрос 3

Предмет: Химия

Издательство: Мектеп

Язык: Русский

Год: 2019

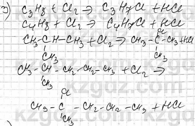
Глава XII. ВВЕДЕНИЕ В ОРГАНИЧЕСКУЮ ХИМИЮ, §67. Химические свойства алканов, Вопрос, 3

Химия Оспанова 10 ЕМН класс 2019 Вопрос 31

Глава I. СТРОЕНИЕ АТОМА

§1. Атом — сложная частица

Вопросы

1 2 3 4 5 6 13

§2. Решение задач на тему: “Вычисление средней относительнойатомной массы”

Вопросы

1 2 3 4 5 6 7 8 9 10

§3. Радиоактивность

Вопросы

1 2 3 4 5 6 7 8 9 10 11 12 13

Задачи

Задача 1 Задача 2 Задача 3

§4. Ядерные реакции

Вопросы

1 2 3 4 5 6 7 8 9 10 11 12 13 14 15

§5. Энергетические уровни и подуровни. Квантовые числа и орбитали

Вопросы

1 2 3 4 5 6 7 8 9 10 11 12 13 14

§6. Квантовые числа и атомные орбитали

Вопросы

1 2 3 4 5 6 7 8 9 10 11

Задачи

Задача 1 Задача 2

Глава II. ПЕРИОДИЧНОСТЬ ИЗМЕНЕНИЙ СВОЙСТВ ЭЛЕМЕНТОВ И ИХ СОЕДИНЕНИЙ

§7. Закономерность изменения свойств элементов в периодах и группах

Вопросы

1 2 3 4 5 6 7 8 9 10 11 12 13

§8. Закономерность изменения кислотно-основных свойств соединений в периодах и группах

Вопросы

1 2 3 4 5 6 7 8 9 10

§9. Закономерности изменения окислительно-восстановительных свойств соединений в периодах и группах

Вопросы

1 2 3 4 5

Задачи

Задача 1

Глава III. ХИМИЧЕСКАЯ СВЯЗЬ

§10. Ковалентная связь

Вопросы

1 2 3 4 5 6 7 8 9 10 11 12

§11. Свойства ковалентной связи

Вопросы

1 2 3 4 5 6 7 8

§12. Типы гибридизации: зр, зр2, зр-

Вопросы

1 2 3 4 5 6 7 8

§13. Электроотрицательностьи полярность связи

Вопросы

1 2 3

§14. Ионная связь

Вопросы

1 2 3 4 5 6 7 8 9 10

§15. Теория отталкивания электронных пар

Вопросы

1 2 3 4 5

§16. Металлическая связь

Вопросы

1 2 3 4 5

§17. Водородная связь

Вопросы

1 2 3 4

§18. Кристаллические решетки

Вопросы

1 2 3 4 5 6

Глава IV. СТЕХИОМЕТРИЯ

§19. Основные стехиометрические законы химии

Вопросы

1 2 3 4 5

Задачи

Задача 1 Задача 2 Задача 3 Задача 4 Задача 5 Задача 6 Задача 7

§20. Относительная атомная и молекулярная масса

Вопросы

1 2 3 4

§21. Количество вещества. Молярная масса

Вопросы

1 2 3 4 5 6

Задачи

Задача 1 Задача 2 Задача 3 Задача 4 Задача 5 Задача 6 Задача 7 Задача 8

§22. Закон Авогадро. Закон объемных отношений

Вопросы

1 2 3 4 5 6 7 8 9

§23. Молярная концентрация

Вопросы

1 2 3

Задачи

Задача 1 Задача 2 Задача 3 Задача 4 Задача 5

§24. Установление эмпирической и молекулярной (истинной) формул по массовым долям элементов, входящих в состав вещества

Задачи

Задача 1 Задача 2 Задача 3 Задача 4 Задача 5 Задача 6 Задача 7

§25. Расчет выхода продукта от теоретически возможного

Задачи

Задача 1 Задача 2 Задача 3 Задача 4 Задача 5 Задача 6 Задача 7

§26. Вычисление массы (объема) продукта реакции по известной массе (объему) исходного вещества, содержащего примеси

Задачи

Задача 1 Задача 2 Задача 3 Задача 4 Задача 5 Задача 6 Задача 7 Задача 8 Задача 9 Задача 10

§27. Задачи на “избыток” и “недостаток”

Задачи

Задача 1 Задача 2 Задача 3 Задача 5 Задача 6 Задача 7 Задача 8 Задача 9

Глава V. ВВЕДЕНИЕ В ТЕРМОДИНАМИКУ

§28. Внутренняя энергия и энтальпия

Вопросы

1 2 3 4 5 6 7

§29. Закон Гесса

Вопросы

1 2 3

§30. Решение задач на тему: “Применение закона Гесса и следствий из него”

Задачи

Задача 1 Задача 2 Задача 3 Задача 4 Задача 6 Задача 7 Задача 8 Задача 9

§31. Энтропия

Вопросы

1 2 3

Задачи

Задача 1 Задача 2 Задача 4

Глава VI. КИНЕТИКА

§34. Скорость химической реакции

Вопросы

1 2 3 4 5 6

Задачи

Задача 1 Задача 2 Задача 3

§35. Влияние концентрации на скорость химических реакций

Вопросы

1 2 3 4 5 6

Задачи

Задача 1 Задача 2 Задача 3

§36. Влияние температуры на скорость химических реакций

Вопросы

1 2 3 4 5 6 7

Задачи

Задача 1 Задача 2 Задача 3

§37. Катализ

Вопросы

1 2 3 4 5 6 7

Задачи

Задача 1 Задача 2

§38. Решение задач на тему: “Правило Вант-Гоффа”

Задачи

Задача 1 Задача 2 Задача 3 Задача 4 Задача 6 Задача 7

Глава VII. ХИМИЧЕСКОЕ РАВНОВЕСИЕ

§39. Химическое равновесие. Константа равновесия

Вопросы

1 2 3 4 5 6

§40. Влияние различных факторов на равновесие

Вопросы

1 2 3 4 6

Задачи

Задача 1 Задача 2

§41. Химическое равновесие в промышленных процессах

Вопросы

1 2 3

Задачи

Задача 1 Задача 2

§ 42. Решение типовых задач на тему: ‘'Нахождение константы равновесия и равновесных концентраций”

Вопросы

1 2 3 4

Задачи

Задача 1 Задача 2 Задача 3 Задача 4 Задача 5

Глава VIII. ОКИСЛИТЕЛЬНО-ВОССТАНОВИТЕЛЬНЫЕ РЕАКЦИИ

§43. Окислительно-восстановительные процессы

Вопросы

1 2 3 4 5 6

§44. Типы окислительно-восстановительных реакций

Вопросы

1 2 3 4 5 6 7 8 9 10

§45. Составление уравнений окислительно-восстановительных реакций методом электронного баланса

Вопросы

1 2 3

§46. Составление уравнений окислительно-восстановительных реакций методом ионно-электронного баланса

Вопросы

1 2 3 4 5 6 7

Задачи

Задача 1 Задача 2

§47. Электрохимический ряд потенциалов

Вопросы

1 2 3 4 5 6 7 8 9 10 11

§48. Гальванические элементы

Вопросы

1 2 3

Задачи

Задача 1 Задача 2 Задача 3

§49. Химические процессы, происходящие в аккумуляторах

Вопросы

1 2 3 4

§50. Электролиз

Вопросы

1 2 3 4 5 6

§51. Электролиз расплавов и растворов

Вопросы

1 2 3 4 5 6

Задачи

Задача 1 Задача 2 Задача 3 Задача 4

Глава IX. АНАЛИТИЧЕСКИЕ МЕТОДЫ

§52. Аналитические методы в современных исследованиях

Вопросы

1 2 3 4 5 6 7

§53. Хроматография

Вопросы

1 2 3 4 5 6 7 8

Глава X. ЭЛЕМЕНТЫ 17 (VIIA) ГРУППЫ

§54. Закономерности изменения свойств галогенов

Вопросы

1 2 3 4 5 6 7 8 9 10 11 12

§55. Окислительно-восстановительные свойства галогенов

Вопросы

1 2 3 4 5 7 8

Задачи

Задача 1 Задача 2 Задача 3 Задача 4

§56. Применение галогенов и их соединений

Вопросы

1 2 3 4 5 6 7 8 9 10 11 12 13 14 15 16

Глава XI. ЭЛЕМЕНТЫ 2 (IIА) ГРУППЫ

§57. Физические свойства элементов 2 (НА) группы

Вопросы

1 2 3 4 5 6

Задачи

Задача 1 Задача 2 Задача 3

§58. Химические свойства элементов 2 (НА) группы

Вопросы

1 2 3 4 5 6 7 8 9

Задачи

Задача 1 Задача 2

§59. Природные карбонаты

Вопросы

1 2 3 4 5 6 7

Задачи

Задача 1 Задача 2 Задача 3 Задача 4

Глава XII. ВВЕДЕНИЕ В ОРГАНИЧЕСКУЮ ХИМИЮ

§60. Введение в органическую химнню

Вопросы

1 2 3 4 5 6 7 8

§61. Виды формул, применяемых в органической химии

Вопросы

1 2 3 4 5 6 7 8

§62. Состав и структура органических веществ. Изомерия

Вопросы

1 2 3 4 5 6 7

§63. Классификация органических веществ

Вопросы

1 2 3 4 5 6

§64. Номенклатура органических соединений

Вопросы

1 2 3 4 5 6 7

§65. Предельные углеводороды. Алканы

Вопросы

1 2 3 4 5 6

Задачи

Задача 1 Задача 2 Задача 3

§66. Номенклатура и изомерия алканов

Вопросы

1 2 3 4 5 6 7

Задачи

Задача 1 Задача 2 Задача 3

§67. Химические свойства алканов

Вопросы

1 2 3 4 5 6

Задачи

Задача 1 Задача 2 Задача 3

§68. Циклоалканы

Вопросы

1 2 3 4 5 6

Задачи

Задача 1 Задача 2 Задача 3

§69. Решение задач на тему: “Определение молекулярной формулы вещества по продуктам сгорания и гомологическим рядам"

Задачи

Задача 1 Задача 2 Задача 3

Глава XIII. НЕПРЕДЕЛЬНЫЕ УГЛЕВОДОРОДЫ

§70. Алкены, их гомологи и изомеры

Вопросы

1 2 3 4 5 6 7 8 9

§71. Физические и химические свойства алкенов

Вопросы

1 2 3 4 5 6 7 8 9 10 11 12

Задачи

Задача 1 Задача 2 Задача 3 Задача 4 Задача 5

§72. Реакция полимеризации

Вопросы

1 2 3 4 5 6 7

§73. Производство полиэтилена

Вопросы

1 2 3 4 5 6 7

§74. Алкадиены (дненовые углеводороды)

Вопросы

1 2 3 4 5 6 7 8 9

Задачи

Задача 1 Задача 2 Задача 3

§75. Каучук. Резина

Вопросы

1 2 3 4 5 6

Задачи

Задача 1 Задача 2

§76. Аткины

Вопросы

1 2 3 4 5 6

§77. Свойства алкинов

Вопросы

1 2 3

Задачи

Задача 1 Задача 2 Задача 3 Задача 4

§78. Источники углеводородов

Вопросы

1 2 3 4 5 6 7

Задачи

Задача 1 Задача 2

§79. Нефть

Вопросы

1 2 3 4 5 6 7

§80. Переработка нефтепродуктов

Вопросы

1 2 3 4 5 6 7 8 9

Задачи

Задача 1 Задача 2 Задача 3

§81. Природный газ. Попутные нефтяные газы

Вопросы

1 2 3 4 5

Задачи

Задача 1 Задача 2 Задача 3

§82. Коксование каменного угля

Вопросы

1 2 3 4 5

Задачи

Задача 1 Задача 2 Задача 3 Задача 4

Глава XIV. ГАТОГЕНАЛКАНЫ

§83. Получение галогеналканов

Вопросы

1 2 3 4 5 6

§84. Реакции нуклеофильного замещения галогеналканов

Вопросы

1 2 3 4 5 6 7

§85. Реакции элиминирования галогеналканов

Вопросы

1 2 3 4 5

Глава XV. СПИРТЫ ОДНОАТОМНЫЕ, МНОГОАТОМНЫЕ

§86. Классификация и химические свойства спиртов

Вопросы

1 2 3

Задачи

Задача 1 Задача 2 Задача 3 Задача 4

§87. Промышленное производство этилового спирта

Вопросы

1 2 3 4 5

§88. Многоатомные спирты

Вопросы

1 2 3 4

Задачи

Задача 1 Задача 2

§89. Фенолы

Вопросы

1 2 3

§90. Свойства фенола и его применение

Вопросы

1 2

Задачи

Задача 1 Задача 2