ГДЗ Химия Оспанова 10 ЕМН класс 2019 Вопрос 3

Предмет: Химия

Издательство: Мектеп

Язык: Русский

Год: 2019

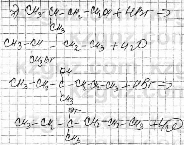
Глава XV. СПИРТЫ ОДНОАТОМНЫЕ, МНОГОАТОМНЫЕ, §86. Классификация и химические свойства спиртов, Вопрос, 3

Химия Оспанова 10 ЕМН класс 2019 Вопрос 31 Химия Оспанова 10 ЕМН класс 2019 Вопрос 31 Химия Оспанова 10 ЕМН класс 2019 Вопрос 31 Химия Оспанова 10 ЕМН класс 2019 Вопрос 31

Глава I. СТРОЕНИЕ АТОМА

§1. Атом — сложная частица

Вопросы

1 2 3 4 5 6 13

§2. Решение задач на тему: “Вычисление средней относительнойатомной массы”

Вопросы

1 2 3 4 5 6 7 8 9 10

§3. Радиоактивность

Вопросы

1 2 3 4 5 6 7 8 9 10 11 12 13

Задачи

Задача 1 Задача 2 Задача 3

§4. Ядерные реакции

Вопросы

1 2 3 4 5 6 7 8 9 10 11 12 13 14 15

§5. Энергетические уровни и подуровни. Квантовые числа и орбитали

Вопросы

1 2 3 4 5 6 7 8 9 10 11 12 13 14

§6. Квантовые числа и атомные орбитали

Вопросы

1 2 3 4 5 6 7 8 9 10 11

Задачи

Задача 1 Задача 2

Глава II. ПЕРИОДИЧНОСТЬ ИЗМЕНЕНИЙ СВОЙСТВ ЭЛЕМЕНТОВ И ИХ СОЕДИНЕНИЙ

§7. Закономерность изменения свойств элементов в периодах и группах

Вопросы

1 2 3 4 5 6 7 8 9 10 11 12 13

§8. Закономерность изменения кислотно-основных свойств соединений в периодах и группах

Вопросы

1 2 3 4 5 6 7 8 9 10

§9. Закономерности изменения окислительно-восстановительных свойств соединений в периодах и группах

Вопросы

1 2 3 4 5

Задачи

Задача 1

Глава III. ХИМИЧЕСКАЯ СВЯЗЬ

§10. Ковалентная связь

Вопросы

1 2 3 4 5 6 7 8 9 10 11 12

§11. Свойства ковалентной связи

Вопросы

1 2 3 4 5 6 7 8

§12. Типы гибридизации: зр, зр2, зр-

Вопросы

1 2 3 4 5 6 7 8

§13. Электроотрицательностьи полярность связи

Вопросы

1 2 3

§14. Ионная связь

Вопросы

1 2 3 4 5 6 7 8 9 10

§15. Теория отталкивания электронных пар

Вопросы

1 2 3 4 5

§16. Металлическая связь

Вопросы

1 2 3 4 5

§17. Водородная связь

Вопросы

1 2 3 4

§18. Кристаллические решетки

Вопросы

1 2 3 4 5 6

Глава IV. СТЕХИОМЕТРИЯ

§19. Основные стехиометрические законы химии

Вопросы

1 2 3 4 5

Задачи

Задача 1 Задача 2 Задача 3 Задача 4 Задача 5 Задача 6 Задача 7

§20. Относительная атомная и молекулярная масса

Вопросы

1 2 3 4

§21. Количество вещества. Молярная масса

Вопросы

1 2 3 4 5 6

Задачи

Задача 1 Задача 2 Задача 3 Задача 4 Задача 5 Задача 6 Задача 7 Задача 8

§22. Закон Авогадро. Закон объемных отношений

Вопросы

1 2 3 4 5 6 7 8 9

§23. Молярная концентрация

Вопросы

1 2 3

Задачи

Задача 1 Задача 2 Задача 3 Задача 4 Задача 5

§24. Установление эмпирической и молекулярной (истинной) формул по массовым долям элементов, входящих в состав вещества

Задачи

Задача 1 Задача 2 Задача 3 Задача 4 Задача 5 Задача 6 Задача 7

§25. Расчет выхода продукта от теоретически возможного

Задачи

Задача 1 Задача 2 Задача 3 Задача 4 Задача 5 Задача 6 Задача 7

§26. Вычисление массы (объема) продукта реакции по известной массе (объему) исходного вещества, содержащего примеси

Задачи

Задача 1 Задача 2 Задача 3 Задача 4 Задача 5 Задача 6 Задача 7 Задача 8 Задача 9 Задача 10

§27. Задачи на “избыток” и “недостаток”

Задачи

Задача 1 Задача 2 Задача 3 Задача 5 Задача 6 Задача 7 Задача 8 Задача 9

Глава V. ВВЕДЕНИЕ В ТЕРМОДИНАМИКУ

§28. Внутренняя энергия и энтальпия

Вопросы

1 2 3 4 5 6 7

§29. Закон Гесса

Вопросы

1 2 3

§30. Решение задач на тему: “Применение закона Гесса и следствий из него”

Задачи

Задача 1 Задача 2 Задача 3 Задача 4 Задача 6 Задача 7 Задача 8 Задача 9

§31. Энтропия

Вопросы

1 2 3

Задачи

Задача 1 Задача 2 Задача 4

Глава VI. КИНЕТИКА

§34. Скорость химической реакции

Вопросы

1 2 3 4 5 6

Задачи

Задача 1 Задача 2 Задача 3

§35. Влияние концентрации на скорость химических реакций

Вопросы

1 2 3 4 5 6

Задачи

Задача 1 Задача 2 Задача 3

§36. Влияние температуры на скорость химических реакций

Вопросы

1 2 3 4 5 6 7

Задачи

Задача 1 Задача 2 Задача 3

§37. Катализ

Вопросы

1 2 3 4 5 6 7

Задачи

Задача 1 Задача 2

§38. Решение задач на тему: “Правило Вант-Гоффа”

Задачи

Задача 1 Задача 2 Задача 3 Задача 4 Задача 6 Задача 7

Глава VII. ХИМИЧЕСКОЕ РАВНОВЕСИЕ

§39. Химическое равновесие. Константа равновесия

Вопросы

1 2 3 4 5 6

§40. Влияние различных факторов на равновесие

Вопросы

1 2 3 4 6

Задачи

Задача 1 Задача 2

§41. Химическое равновесие в промышленных процессах

Вопросы

1 2 3

Задачи

Задача 1 Задача 2

§ 42. Решение типовых задач на тему: ‘'Нахождение константы равновесия и равновесных концентраций”

Вопросы

1 2 3 4

Задачи

Задача 1 Задача 2 Задача 3 Задача 4 Задача 5

Глава VIII. ОКИСЛИТЕЛЬНО-ВОССТАНОВИТЕЛЬНЫЕ РЕАКЦИИ

§43. Окислительно-восстановительные процессы

Вопросы

1 2 3 4 5 6

§44. Типы окислительно-восстановительных реакций

Вопросы

1 2 3 4 5 6 7 8 9 10

§45. Составление уравнений окислительно-восстановительных реакций методом электронного баланса

Вопросы

1 2 3

§46. Составление уравнений окислительно-восстановительных реакций методом ионно-электронного баланса

Вопросы

1 2 3 4 5 6 7

Задачи

Задача 1 Задача 2

§47. Электрохимический ряд потенциалов

Вопросы

1 2 3 4 5 6 7 8 9 10 11

§48. Гальванические элементы

Вопросы

1 2 3

Задачи

Задача 1 Задача 2 Задача 3

§49. Химические процессы, происходящие в аккумуляторах

Вопросы

1 2 3 4

§50. Электролиз

Вопросы

1 2 3 4 5 6

§51. Электролиз расплавов и растворов

Вопросы

1 2 3 4 5 6

Задачи

Задача 1 Задача 2 Задача 3 Задача 4

Глава IX. АНАЛИТИЧЕСКИЕ МЕТОДЫ

§52. Аналитические методы в современных исследованиях

Вопросы

1 2 3 4 5 6 7

§53. Хроматография

Вопросы

1 2 3 4 5 6 7 8

Глава X. ЭЛЕМЕНТЫ 17 (VIIA) ГРУППЫ

§54. Закономерности изменения свойств галогенов

Вопросы

1 2 3 4 5 6 7 8 9 10 11 12

§55. Окислительно-восстановительные свойства галогенов

Вопросы

1 2 3 4 5 7 8

Задачи

Задача 1 Задача 2 Задача 3 Задача 4

§56. Применение галогенов и их соединений

Вопросы

1 2 3 4 5 6 7 8 9 10 11 12 13 14 15 16

Глава XI. ЭЛЕМЕНТЫ 2 (IIА) ГРУППЫ

§57. Физические свойства элементов 2 (НА) группы

Вопросы

1 2 3 4 5 6

Задачи

Задача 1 Задача 2 Задача 3

§58. Химические свойства элементов 2 (НА) группы

Вопросы

1 2 3 4 5 6 7 8 9

Задачи

Задача 1 Задача 2

§59. Природные карбонаты

Вопросы

1 2 3 4 5 6 7

Задачи

Задача 1 Задача 2 Задача 3 Задача 4

Глава XII. ВВЕДЕНИЕ В ОРГАНИЧЕСКУЮ ХИМИЮ

§60. Введение в органическую химнню

Вопросы

1 2 3 4 5 6 7 8

§61. Виды формул, применяемых в органической химии

Вопросы

1 2 3 4 5 6 7 8

§62. Состав и структура органических веществ. Изомерия

Вопросы

1 2 3 4 5 6 7

§63. Классификация органических веществ

Вопросы

1 2 3 4 5 6

§64. Номенклатура органических соединений

Вопросы

1 2 3 4 5 6 7

§65. Предельные углеводороды. Алканы

Вопросы

1 2 3 4 5 6

Задачи

Задача 1 Задача 2 Задача 3

§66. Номенклатура и изомерия алканов

Вопросы

1 2 3 4 5 6 7

Задачи

Задача 1 Задача 2 Задача 3

§67. Химические свойства алканов

Вопросы

1 2 3 4 5 6

Задачи

Задача 1 Задача 2 Задача 3

§68. Циклоалканы

Вопросы

1 2 3 4 5 6

Задачи

Задача 1 Задача 2 Задача 3

§69. Решение задач на тему: “Определение молекулярной формулы вещества по продуктам сгорания и гомологическим рядам"

Задачи

Задача 1 Задача 2 Задача 3

Глава XIII. НЕПРЕДЕЛЬНЫЕ УГЛЕВОДОРОДЫ

§70. Алкены, их гомологи и изомеры

Вопросы

1 2 3 4 5 6 7 8 9

§71. Физические и химические свойства алкенов

Вопросы

1 2 3 4 5 6 7 8 9 10 11 12

Задачи

Задача 1 Задача 2 Задача 3 Задача 4 Задача 5

§72. Реакция полимеризации

Вопросы

1 2 3 4 5 6 7

§73. Производство полиэтилена

Вопросы

1 2 3 4 5 6 7

§74. Алкадиены (дненовые углеводороды)

Вопросы

1 2 3 4 5 6 7 8 9

Задачи

Задача 1 Задача 2 Задача 3

§75. Каучук. Резина

Вопросы

1 2 3 4 5 6

Задачи

Задача 1 Задача 2

§76. Аткины

Вопросы

1 2 3 4 5 6

§77. Свойства алкинов

Вопросы

1 2 3

Задачи

Задача 1 Задача 2 Задача 3 Задача 4

§78. Источники углеводородов

Вопросы

1 2 3 4 5 6 7

Задачи

Задача 1 Задача 2

§79. Нефть

Вопросы

1 2 3 4 5 6 7

§80. Переработка нефтепродуктов

Вопросы

1 2 3 4 5 6 7 8 9

Задачи

Задача 1 Задача 2 Задача 3

§81. Природный газ. Попутные нефтяные газы

Вопросы

1 2 3 4 5

Задачи

Задача 1 Задача 2 Задача 3

§82. Коксование каменного угля

Вопросы

1 2 3 4 5

Задачи

Задача 1 Задача 2 Задача 3 Задача 4

Глава XIV. ГАТОГЕНАЛКАНЫ

§83. Получение галогеналканов

Вопросы

1 2 3 4 5 6

§84. Реакции нуклеофильного замещения галогеналканов

Вопросы

1 2 3 4 5 6 7

§85. Реакции элиминирования галогеналканов

Вопросы

1 2 3 4 5

Глава XV. СПИРТЫ ОДНОАТОМНЫЕ, МНОГОАТОМНЫЕ

§86. Классификация и химические свойства спиртов

Вопросы

1 2 3

Задачи

Задача 1 Задача 2 Задача 3 Задача 4

§87. Промышленное производство этилового спирта

Вопросы

1 2 3 4 5

§88. Многоатомные спирты

Вопросы

1 2 3 4

Задачи

Задача 1 Задача 2

§89. Фенолы

Вопросы

1 2 3

§90. Свойства фенола и его применение

Вопросы

1 2

Задачи

Задача 1 Задача 2