ГДЗ Алгебра Шыныбеков 7 класс 2017 Упражнение 5.143
Предмет: Алгебра
Издательство: Атамура
Язык: Казахский
Год: 2017
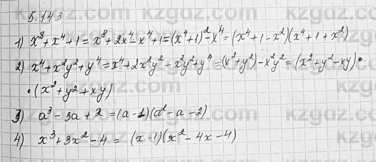
Раздел 5. ФОРМУЛЫ СОКРАЩЕННОГО УМНОЖЕНИЯ, 5.5. Преобразование целых выражений, Упражнение, 5.143

Предмет: Алгебра
Издательство: Атамура
Язык: Казахский
Год: 2017