ГДЗ Алгебра Шыныбеков 7 класс 2017 Упражнение 5.4
Предмет: Алгебра
Издательство: Атамура
Язык: Казахский
Год: 2017
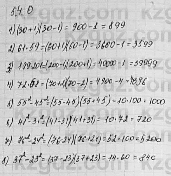
Раздел 5. ФОРМУЛЫ СОКРАЩЕННОГО УМНОЖЕНИЯ, 5.2. Разность квадратов двух выражений, Упражнение, 5.4

Предмет: Алгебра
Издательство: Атамура
Язык: Казахский
Год: 2017