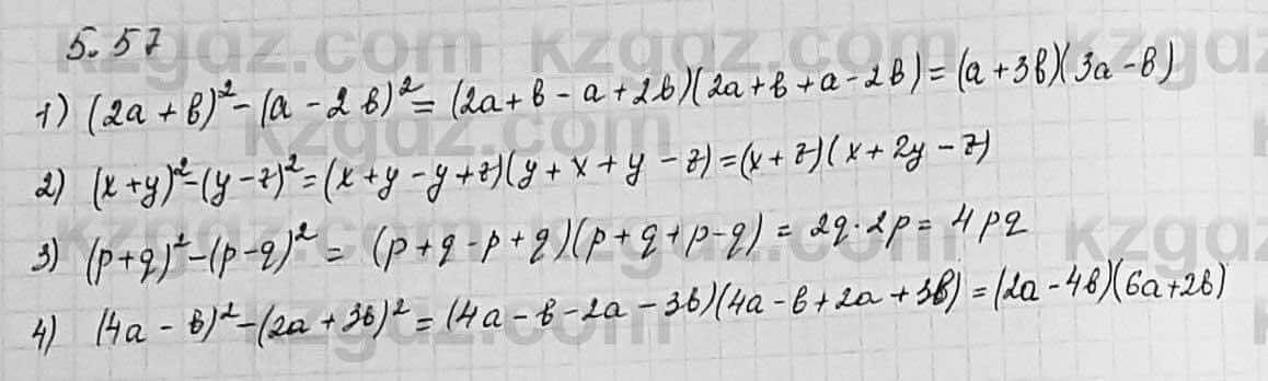
ГДЗ Алгебра Шыныбеков 7 класс 2017 Упражнение 5.57

Предмет: Алгебра

Издательство: Атамура

Язык: Казахский

Год: 2017

Раздел 5. ФОРМУЛЫ СОКРАЩЕННОГО УМНОЖЕНИЯ, 5.2. Разность квадратов двух выражений, Упражнение, 5.57

Алгебра Шыныбеков 7 класс 2017 Упражнение 5.571

Вопросы на повторение

Вопросы на повторение

1 2 3 4 5 6 7 8 9 10 11 12 13 14 15 16 17 18 19 20 21 22 23 24 25 26 27

Повторение пройденного материала аа 5 и 6 классы

Упражнения

0.1 0.2 0.3 0.4 0.5 0.7 0.8 0.9 0.1 0.11 0.12 0.13 0.14 0.15 0.16 0.17 0.18 0.19 0.21 0.22 0.23 0.24 0.25 0.26 0.27 0.28 0.29 0.3

Раздел 1. СТЕПЕНЬ С НАТУРАЛЬНЫМ И ЦЕЛЫМ ПОКАЗАТЕЛЯМИ

1.1. Степень с натуральным показателем

Упражнения

1.1 1.2 1.3 1.4 1.5 1.6 1.7 1.8 1.9 1.1 1.11 1.12 1.13 1.14 1.15 1.16 1.17 1.18 1.19 1.2 1.21 1.22 1.23 1.24 1.25 1.26 1.27 1.28 1.29 1.3 1.31 1.32 1.33 1.34 1.35 1.36 1.37 1.38 1.39 1.4 1.41 1.42 1.43 1.44 1.45 1.46 1.47 1.48 1.49 1.5 1.51 1.52 1.53 1.54 1.55 1.56 1.57 1.58 1.59 1.6 1.61 1.62 1.63 1.64 1.65 1.66 1.67 1.68 1.69 1.7 1.71 1.72 1.73 1.74 1.75 1.76 1.77 1.78 1.79 1.8 1.81 1.82 1.83 1.84 1.85 1.86 1.87 1.88 1.89 1.9 1.91 1.92 1.93 1.94 1.95 1.96

1.2. Степень с целым показателем

Упражнения

1.97 1.98 1.99 1.1 1.101 1.102 1.103 1.104 1.105 1.106 1.107 1.108 1.109 1.11 1.111 1.112 1.113 1.114 1.115 1.116 1.117 1.118 1.119 1.12

1.3. Применение степени е целым показателем

Упражнения

1.121 1.122 1.123 1.124 1.125 1.126 1.127 1.128 1.129 1.13 1.131 1.132 1.133 1.134 1.135 1.136 1.137 1.138 1.139 1.14 1.141 1.142 1.143 1.144 1.145 1.146 1.147 1.148 1.149 1.15 1.151 1.152 1.153 1.154 1.155 1.156 1.157 1.158 1.159 1.16 1.161 1.162 1.163 1.164 1.165 1.166 1.167 1.168 1.169 1.17 1.171 1.172 1.173 1.174 1.175 1.176 1.177 1.178 1.179 1.18 1.181 1.182

Раздел 2. ОДНОЧЛЕНЫ И МНОГОЧЛЕНЫ

2.1. Одночлены

Упражнения

2.1 2.2 2.3 2.4 2.5 2.6 2.7 2.8 2.9 2.1 2.11 2.12 2.13 2.14 2.15 2.16 2.17 2.18 2.19 2.2 2.21 2.22 2.23 2.24 2.25 2.26 2.27

2.2. Многочлены

Упражнения

2.29 2.3 2.31 2.32 2.33 2.34 2.35 2.36 2.37 2.38 2.39 2.4 2.41 2.42 2.43 2.44 2.45 2.46 2.47 2.48 2.49 2.5 2.51 2.52 2.53 2.54 2.55 2.56 2.57 2.58 2.59 2.6

2.3. Произведение одночлена и многочлена

Упражнения

2.61 2.62 2.63 2.64 2.65 2.66 2.67 2.68 2.69 2.7 2.71 2.72 2.73 2.74 2.75 2.76 2.77 2.78 2.79 2.8 2.81 2.82 2.83 2.84 2.85 2.86 2.87 2.88 2.89 2.9 2.91 2.92 2.93 2.94 2.95 2.96 2.97 2.98 2.99 2.1 2.101

2.4. Произведение многочленов

Упражнения

2.102 2.103 2.104 2.105 2.106 2.107 2.108 2.109 2.11 2.111 2.112 2.113 2.114 2.115 2.116 2.117 2.118 2.119 2.12 2.121 2.122 2.123 2.124 2.125 2.126 2.127 2.128 2.129 2.13 2.131 2.132 2.133 2.134 2.135 2.136 2.137

Раздел 3. ФУНКЦИЯ

3.1. Функция и способы ее задания

Упражнения

3.1 3.2 3.3 3.4 3.5 3.6 3.7 3.8 3.9 3.1 3.11 3.12 3.13 3.14 3.15 3.16 3.17 3.18 3.19 3.2 3.21 3.22 3.23 3.24 3.25 3.26 3.27 3.28 3.29 3.3 3.31 3.32 3.33 3.34 3.35 3.36 3.37 3.38 3.39 3.4 3.41 3.42

3.2. Линейная функция и ее график

Упражнения

3.43 3.44 3.45 3.46 3.47 3.48 3.49 3.5 3.51 3.52 3.53 3.54 3.55 3.56 3.57 3.58 3.59 3.6 3.61 3.62 3.63 3.64 3.65 3.66 3.67 3.68 3.69 3.7 3.71 3.72 3.73 3.74 3.75 3.76 3.77 3.78 3.79 3.8 3.81 3.82 3.83 3.84 3.85 3.86

3.3. Решение системы линейных уравнений графическим методом

Упражнения

3.87 3.88 3.89 3.9 3.91 3.92 3.93 3.94 3.95 3.96 3.97 3.98 3.99 3.1 3.101 3.102 3.103 3.104

3.4. Графики функций у = ах^2 у = ax^3 и их свойства

Упражнения

3.105 3.106 3.107 3.108 3.109 3.11 3.111 3.112 3.113 3.114 3.115 3.116 3.117 3.118 3.119 3.12 3.121 3.122 3.123 3.124 3.125 3.126 3.127 3.128 3.129 3.13 3.131 3.132 3.133 3.134 3.135 3.136 3.137 3.138 3.139 3.14 3.141 3.142 3.143 3.144

3.5. Функция у = k/x и ее график

Упражнения

3.145 3.146 3.147 3.148 3.149 3.15 3.151 3.152 3.153 3.154 3.155 3.156 3.157 3.158 3.159 3.16 3.161 3.162 3.163

Раздел 4. ЭЛЕМЕНТЫ СТАТИСТИКИ

4.1. Генеральная совокупность и выборка

Упражнения

4.1 4.2 4.3 4.4 4.5 4.6 4.7 4.8 4.9 4.1 4.11 4.12 4.13 4.14 4.15 4.16 4.17 4.18 4.19 4.2

4.2. Полигон частот и относительных частот

Упражнения

4.21 4.22 4.23 4.24 4.25 4.26 4.27 4.28 4.35 4.36 4.37 4.38 4.39 4.4 4.41 4.42 4.43

Раздел 5. ФОРМУЛЫ СОКРАЩЕННОГО УМНОЖЕНИЯ

5.1. Квадрат суммы и квадрат разности двух выражений

Упражнения

5.1 5.2 5.3 5.4 5.5 5.6 5.7 5.8 5.9 5.1 5.11 5.12 5.13 5.14 5.15 5.16 5.17 5.18 5.19 5.2 5.21 5.22 5.23 5.24 5.25 5.26 5.27 5.28 5.29 5.3 5.31 5.32 5.33 5.34

5.2. Разность квадратов двух выражений

Упражнения

5.35 5.36 5.37 5.38 5.39 5.4 5.41 5.42 5.43 5.44 5.45 5.46 5.47 5.48 5.49 5.5 5.51 5.52 5.53 5.54 5.55 5.56 5.57 5.58 5.59 5.6 5.61 5.62 5.63 5.64 5.65 5.66 5.67 5.68 5.69 5.7 5.71

5.3. Сумма и разность кубов двух выражении

Упражнения

5.72 5.73 5.74 5.75 5.76 5.77 5.78 5.79 5.8 5.81 5.82 5.83 5.84 5.85 5.86 5.87 5.88 5.89 5.9 5.91 5.92 5.93 5.94 5.95 5.96 5.97 5.98 5.99

5.4. Куб суммы и куб разности двух выражений

Упражнения

5.1 5.101 5.102 5.103 5.104 5.105 5.106 5.107 5.108 5.109 5.11 5.111 5.112 5.113 5.114 5.115 5.116 5.117 5.118 5.119 5.12 5.121 5.122 5.123 5.124 5.125

5.5. Преобразование целых выражений

Упражнения

5.126 5.127 5.128 5.129 5.13 5.131 5.132 5.133 5.134 5.135 5.136 5.137 5.138 5.139 5.14 5.141 5.142 5.143 5.144 5.145 5.146 5.147 5.148 5.149 5.15

5.6. Решение текстовых задач с помощью составления их математических моделей

Упражнения

5.151 5.152 5.153 5.154 5.155 5.156 5.157 5.158 5.159 5.16 5.161 5.162 5.163 5.164 5.165 5.166 5.167 5.168 5.169 5.17 5.171 5.172 5.173 5.174 5.175 5.176 5.177 5.178 5.179 5.18 5.181 5.182 5.183 5.184 5.185 5.186

6.1. Преобразование рациональных выражении

6.1. Преобразование рациональных выражении

Упражнения

6.1 6.2 6.3 6.4 6.5 6.6 6.7 6.8 6.9 6.1 6.11 6.12 6.13 6.14 6.15 6.16 6.17 6.18 6.19 6.2 6.21 6.22 6.23 6.24 6.25 6.26 6.27 6.28 6.29

6.2. Сумма и разность рациональных выражений

6.2. Сумма и разность рациональных выражений

Упражнения

6.3 6.31 6.32 6.33 6.34 6.35 6.36 6.37 6.38 6.39 6.4 6.41 6.42 6.43 6.44 6.45 6.46 6.47 6.48 6.49 6.5 6.51 6.52 6.53 6.54 6.55 6.56 6.57 6.58 6.59 6.6 6.61 6.62 6.63 6.64

6.3. Умножение и деление рациональных выражений

6.3. Умножение и деление рациональных выражений

Упражнения

6.65 6.66 6.67 6.68 6.69 6.7 6.71 6.72 6.73 6.74 6.75 6.76 6.77 6.78 6.79 6.8 6.81 6.82 6.83 6.84 6.85 6.86 6.87 6.88 6.89 6.9 6.91 6.92 6.93 6.94 6.95 6.96 6.97 6.98 6.99 6.1 6.101 6.102 6.103 6.104 6.105 6.106 6.107 6.108 6.109 6.11 6.111 6.112 6.113 6.114

Раздел 7. УПРАЖНЕНИЯ ДЛЯ ПОВТОРЕНИЯ МАТЕРИАЛА, ПРОЙДЕННОГО В 7 КЛАССЕ

Упражнения

7.1 7.2 7.3 7.4 7.5 7.6 7.7 7.8 7.9 7.1 7.11 7.12 7.13 7.14 7.15 7.16 7.17 7.18 7.19 7.2 7.21 7.22 7.23 7.24 7.25 7.26 7.27 7.28 7.29 7.3 7.31 7.32 7.33 7.34 7.35 7.36 7.37 7.38 7.39 7.4 7.41 7.42 7.43 7.44 7.45 7.46 7.47 7.48 7.49 7.5 7.51 7.52

Практические задания

Применение

Страница 13 Страница 19 Страница 25 Страница 31 Страница 36

Вопросы

Вопросы

Страница 13 Страница 19 Страница 25 Страница 31 Страница 36 Страница 43 Страница 49