ГДЗ Алгебра Шыныбеков 7 класс 2017 Упражнение 5.81
Предмет: Алгебра
Издательство: Атамура
Язык: Казахский
Год: 2017
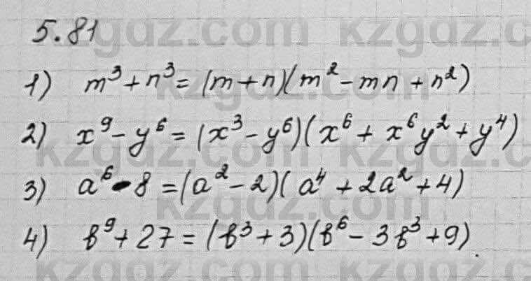
Раздел 5. ФОРМУЛЫ СОКРАЩЕННОГО УМНОЖЕНИЯ, 5.3. Сумма и разность кубов двух выражении, Упражнение, 5.81

Предмет: Алгебра
Издательство: Атамура
Язык: Казахский
Год: 2017