ГДЗ Алгебра Шыныбеков 7 класс 2017 Упражнение 6.72
Предмет: Алгебра
Издательство: Атамура
Язык: Казахский
Год: 2017
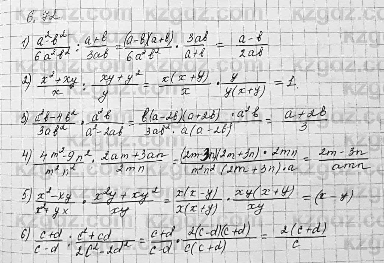
6.3. Умножение и деление рациональных выражений, 6.3. Умножение и деление рациональных выражений, Упражнение, 6.72

Предмет: Алгебра
Издательство: Атамура
Язык: Казахский
Год: 2017