ГДЗ Алгебра Абылкасымова 9 класс 2019 Упражнение 3.24

Предмет: Алгебра

Издательство: Мектеп

Язык: Русский

Год: 2019

Глава I. УРАВНЕНИЯ, НЕРАВЕНСТВА С ДВУМЯ ПЕРЕМЕННЫМИ И ИХ СИСТЕМЫ, §3. Решение систем нелинейных уравнений с двумя переменными, Упражнение, 3.24

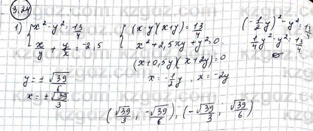
Алгебра Абылкасымова 9 класс 2019 Упражнение 3.241 Алгебра Абылкасымова 9 класс 2019 Упражнение 3.241 Алгебра Абылкасымова 9 класс 2019 Упражнение 3.241 Алгебра Абылкасымова 9 класс 2019 Упражнение 3.241 Алгебра Абылкасымова 9 класс 2019 Упражнение 3.241

Упражнения для повторения курса алгебры 7—8 классов

Повторение

1 2 3 4 5 6 7 8 9 10 11 12 13 14 15 16 17 18 19 20 21 22 23 24 25 26 27 28 29 30 31 32 33 34 35 36 37 38 39 40 41 42 43 44 45 46 47 48 49 50 51 52 53 54 55 56 57 58 59 60 61 62 63 64 65 66 67 68 69

Глава I. УРАВНЕНИЯ, НЕРАВЕНСТВА С ДВУМЯ ПЕРЕМЕННЫМИ И ИХ СИСТЕМЫ

§1. Нелинейные уравнения с двумя переменными

Упражнения

1.1 1.2 1.3 1.4 1.5 1.6 1.7 1.8 1.9 1.1 1.11 1.12 1.13 1.14 1.15

§2. Система нелинейных уравнений с двумя переменными

Упражнения

2.1 2.2 2.3 2.4 2.5 2.6 2.7 2.8 2.9 2.1 2.11 2.12 2.13 2.14

§3. Решение систем нелинейных уравнений с двумя переменными

Упражнения

3.1 3.2 3.3 3.4 3.5 3.6 3.7 3.8 3.9 3.1 3.11 3.12 3.13 3.14 3.15 3.16 3.17 3.18 3.19 3.2 3.21 3.22 3.23 3.24 3.25 3.26 3.27 3.28 3.29 3.3 3.31 3.32 3.33 3.34 3.35 3.36 3.37 3.38 3.39 3.4 3.41 3.42 3.43 3.44 3.45

§4. Решение текстовых задач с помощью систем нелинейных уравнений с двумя переменными

Упражнения

4.1 4.2 4.3 4.4 4.5 4.6 4.7 4.8 4.9 4.1 4.11 4.12 4.13 4.14 4.15 4.16 4.17 4.18 4.19 4.2 4.21 4.22 4.23 4.24 4.25 4.26 4.27 4.28 4.29

§5. Неравенства с двумя переменными

Упражнения

5.1 5.2 5.3 5.4 5.5 5.6 5.7 5.8 5.9 5.1 5.11 5.12 5.13 5.14 5.15 5.16 5.17 5.18 5.19

§6. Системы нелинейных неравенств с двумя переменными

Упражнения

6.1 6.2 6.3 6.4 6.5 6.6 6.7 6.8 6.9 6.1 6.11 6.12 6.13 6.14 6.15 6.16 6.17 6.18 6.19 6.2 6.21 6.22 6.23 6.24 6.25 6.26

Проверь себя!

Проверь себя

1 2 3 4 5 6 7 8 9 10 11 12 13 14 15 16 17 18 19 20 21 22 23 24 25 26 27

Глава II. ЭЛЕМЕНТЫ КОМБИНАТОРИКИ

§7. Основные понятия и правила комбинаторики (правило суммы и правило произведения)

Упражнения

7.1 7.2 7.3 7.4 7.5 7.6 7.7 7.8 7.9 7.1 7.11 7.12 7.13 7.14 7.15 7.16 7.17 7.18 7.19 7.2

§8. Факториал числа. Перестановки и размещения

Упражнения

8.1 8.2 8.3 8.4 8.5 8.6 8.7 8.8 8.9 8.1 8.11 8.12 8.13 8.14 8.15 8.16

§9. Сочетания без повторений. Основные формулы комбинаторики

Упражнения

9.1 9.2 9.3 9.4 9.5 9.6 9.7 9.8 9.9 9.1 9.11 9.12 9.13

§10. Решение задач с использованием формул комбинаторики

Упражнения

10.1 10.2 10.3 10.4 10.5 10.6 10.7 10.8 10.9 10.1 10.11 10.12 10.13 10.14 10.15 10.16 10.17

§11. Бином Ньютона и его свойства

Упражнения

11.1 11.2 11.3 11.4 11.5 11.6 11.7 11.8 11.9 11.1 11.11 11.12 11.13 11.14 11.15 11.16

Проверь себя!

Проверь себя

1 2 3 4 5 6 7 8 9 10

Глава III. ПОСЛЕДОВАТЕЛЬНОСТИ

§12. Числовая последовательность, ее виды, способы задания и свойства .

Упражнения

12.1 12.2 12.3 12.4 12.5 12.6 12.7 12.8 12.9 12.1 12.11 12.12 12.13 12.14 12.15 12.16 12.17 12.18 12.19 12.2 12.21 12.22 12.23 12.24 12.25 12.26 12.27 12.28 12.29 12.3 12.31

§13. Арифметическая прогрессия. Формула п-то члена арифметической прогрессии

Упражнения

13.1 13.2 13.3 13.4 13.5 13.6 13.7 13.8 13.9 13.1 13.11 13.12 13.13 13.14 13.15 13.16 13.17 13.18 13.19 13.2 13.21 13.22 13.23 13.24 13.25 13.26 13.27 13.28 13.29 13.3 13.31 13.32 13.33 13.34 13.35 13.36

§14. Формула для вычисления значения суммы первых n членов арифметической прогрессии

Упражнения

14.1 14.2 14.3 14.4 14.5 14.6 14.7 14.8 14.9 14.1 14.11 14.12 14.13 14.14 14.15 14.16 14.17 14.18 14.19 14.2 14.21 14.22 14.23 14.24 14.25 14.26 14.27 14.28 14.29 14.3 14.31 14.32 14.33 14.34

§15. Геометрическая прогрессия. Формула п-го члена геометрической прогрессии

Упражнения

15.1 15.2 15.3 15.4 15.5 15.6 15.7 15.8 15.9 15.1 15.11 15.12 15.13 15.14 15.15 15.16 15.17 15.18 15.19 15.2 15.21 15.22 15.23 15.24 15.25 15.26 15.27 15.28 15.29 15.3 15.31 15.32 15.33 15.34 15.35 15.36 15.37 15.38 15.39 15.4

§16. Формула для вычисления значения суммы первых n членов геометрической прогрессии

Упражнения

16.1 16.2 16.3 16.4 16.5 16.6 16.7 16.8 16.9 16.1 16.11 16.12 16.13 16.14 16.15 16.16 16.17 16.18 16.19 16.2 16.21 16.22 16.23 16.24 16.25 16.26 16.27 16.28 16.29 16.3 16.31 16.32 16.33 16.34 16.35 16.36 16.37 16.38 16.39

§17. Формула для вычисления значения суммы членов бесконечно убывающей геометрической прогрессии

Упражнения

17.1 17.2 17.3 17.4 17.5 17.6 17.7 17.8 17.9 17.1 17.11 17.12 17.13 17.14 17.15 17.16 17.17 17.18 17.19 17.2 17.21 17.22 17.23 17.24 17.25 17.26 17.27 17.28 17.29 17.3 17.31 17.32 17.33 17.34 17.35 17.36 17.37

§18. Метод математической индукции

Упражнения

18.1 18.2 18.3 18.4 18.5 18.6 18.7 18.8 18.9 18.1 18.11 18.12 18.13 18.14 18.15 18.16 18.17 18.18 18.19 18.2 18.21 18.22 18.23 18.24 18.25 18.26 18.27 18.28 18.29 18.3

Проверь себя!

Проверь себя

1 2 3 4 5 6 7 8 9 10 11 12 13 14 15 16 17 18 19 20

Глава IV. ТРИГОНОМЕТРИЯ

§19. Градусная и радианная мера углов и дуг

Упражнения

19.1 19.2 19.3 19.4 19.5 19.6 19.7 19.8 19.9 19.1 19.11 19.12 19.13 19.14 19.15 19.16 19.17 19.18 19.19 19.2 19.21 19.22 19.23 19.24 19.25

§20. Синус, косинус, тангенс и котангенс произвольного угла. Значения синуса, косинуса, тангенса и котангенса углов

Упражнения

20.1 20.2 20.3 20.4 20.5 20.6 20.7 20.8 20.9 20.1 20.11 20.12 20.13 20.14 20.15 20.16 20.17 20.18 20.19 20.2 20.21 20.22 20.23 20.24 20.25 20.26 20.27 20.28 20.29 20.3 20.31 20.32 20.33 20.34 20.35 20.36 20.37 20.38 20.39 20.4

§21. Тригонометрические функции и их свойства

Упражнения

21.1 21.2 21.3 21.4 21.5 21.6 21.7 21.8 21.9 21.1 21.11 21.12 21.13 21.14 21.15 21.16 21.17 21.18 21.19 21.2 21.21 21.22 21.23 21.24 21.25 21.26 21.27 21.28 21.29 21.3

§22. Тригонометрические тождества

Упражнения

22.1 22.2 22.3 22.4 22.5 22.6 22.7 22.8 22.9 22.1 22.11 22.12 22.13 22.14 22.15 22.16 22.17 22.18 22.19 22.2 22.21 22.22 22.23 22.24 22.25 22.26 22.27 22.28 22.29 22.3 22.31 22.32

§23. Формулы приведения

Упражнения

23.1 23.2 23.3 23.4 23.5 23.6 23.7 23.8 23.9 23.1 23.11 23.12 23.13 23.14 23.15 23.16 23.17 23.18 23.19 23.2 23.21 23.22 23.23 23.24 23.25 23.26 23.27 23.28 23.29 23.3 23.31 23.32 23.33

§24. Формулы синуса и косинуса суммы и разности двух углов

Упражнения

24.1 24.2 24.3 24.4 24.5 24.6 24.7 24.8 24.9 24.1 24.11 24.12 24.13 24.14 24.15 24.16 24.17 24.18 24.19 24.2 24.21 24.22 24.23 24.24 24.25 24.26 24.27 24.28

§25. Формулы тангенса и котангенса суммы и разности двух углов

Упражнения

25.1 25.2 25.3 25.4 25.5 25.6 25.7 25.8 25.9 25.1 25.11 25.12 25.13 25.14 25.15 25.16 25.17 25.18 25.19 25.2 25.21

§26. Формулы тригонометрических функций двойного и половинного углов

Упражнения

26.1 26.2 26.3 26.4 26.5 26.6 26.7 26.8 26.9 26.1 26.11 26.12 26.13 26.14 26.15 26.16 26.17 26.18 26.19 26.2 26.21 26.22 26.23 26.24 26.25 26.26 26.27 26.28 26.29

§27. Преобразование суммы и разности тригонометрических функций в произведение

Упражнения

27.1 27.2 27.3 27.4 27.5 27.6 27.7 27.8 27.9 27.1 27.11 27.12 27.13 27.14 27.15 27.16 27.17 27.18 27.19 27.2 27.21 27.22

§28. Преобразование произведения тригонометрических функций в сумму или разность

Упражнения

28.1 28.2 28.3 28.4 28.5 28.6 28.7 28.8 28.9 28.1 28.11 28.12 28.13 28.14 28.15 28.16 28.17 28.18 28.19 28.2 28.21 28.22 28.23 28.24 28.25 28.26

§29. Тождественные преобразования тригонометрических выражений.

Упражнения

29.1 29.2 29.3 29.4 29.5 29.6 29.7 29.8 29.9 29.1 29.11 29.12 29.13 29.14 29.15 29.16 29.17 29.18 29.19 29.2 29.21 29.22 29.23 29.24 29.25 29.26 29.27 29.28 29.29 29.3 29.31 29.32 29.33 29.34

Проверь себя!

Проверь себя

1 2 3 4 5 6 7 8 9 10 11 12 13 14 15 16 17 18 19 20 21 22 23 24 25

Глава V. ЭЛЕМЕНТЫ ТЕОРИИ ВЕРОЯТНОСТЕЙ

§30. Событие и его виды

Упражнения

30.1 30.2 30.3 30.4 30.5 30.6 30.7 30.8 30.9 30.1 30.11 30.12 30.13 30.14 30.15 30.16 30.17 30.18 30.19 30.2

§31. Определение классической вероятности. Статистическая вероятность

Упражнения

31.1 31.2 31.3 31.4 31.5 31.6 31.7 31.8 31.9 31.1 31.11 31.12 31.13 31.14 31.15 31.16 31.17 31.18 31.19 31.2 31.21 31.22

§32. Геометрическая вероятность

Упражнения

32.1 32.2 32.3 32.4 32.5 32.6 32.7 32.8 32.9 32.1 32.11 32.12 32.13 32.14 32.15 32.16

Проверь себя!

Проверь себя

1 2 3 4 5 6 7 8 9 10 11 12

Упражнения для повторения курса 9 класса

Итоговое повторение

1 2 3 4 5 6 7 8 9 10 11 12 13 14 15 16 17 18 19 20 21 22 23 24 25 26 27 28 29 30 31 32 33 34 35 36 37 38 39 40 41 42 43 44 45 46 48 49 50 51 52 53 54 55 56 57 58 59 60 61 62 63 64 65 66 67 68 69 70 71 72 73 74 75 76 77 78 79 80 81 82 83 84 85 86 87 88 89 90 91 92