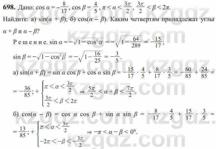
ГДЗ Алгебра Солтан 9 класс 2020 Упражнение 698

Предмет: Алгебра

Издательство: Келешек 2030

Язык: Русский

Год: 2020

IV. Тригонометрия, 26. Формулы косинуса, синуса, тангенса и котангенса суммы и разности двух углов, Упражнение, 698

Алгебра Солтан 9 класс 2020 Упражнение 6981

I. Уравнения, неравенства с двумя переменными и их системы

1. Нелинейные уравнения с двумя переменными.

Упражнения

57 58 59 62 63 64 66 68 70 71 72 73 74 75 76 77 78

2. Системы нелинейных уравнений с двумя переменными

Упражнения

80 81 82 83 84 85 86 87 88 89 90 91 92 93 94 96 97 98 99 100 101 102

3. Решение текстовых задач с использованием систем нелинейных уравнений с двумя переменными.

Упражнения

103 104 105 106 107 108 109 110 111 112 113 114 115 116 117 118 119 120 121 122

4. Неравенства с двумя переменными.

Упражнения

126 131 132 134 135 136 137 139 141

5. Системы неравенств с двумя переменными.

Упражнения

145 146 147 148 149 150 151 152 153 155 156 157 158 159 160 161 163 164

6. Упражнения на повторение раздела «Уравнения, неравенства с двумя переменными и их системы».

Упражнения

166 167 168 169 170 171 172 173 174 175 176 177 178 179 180 181 182 183 184 185 186 187 188 189 190 192 193 194 195 196 197 198 199 200 201 202

II. Элементы комбинаторики

7. Основные понятия и правила комбинаторики

Упражнения

204 205 206 207 208 209 210 211 212 213 214 215 216 217

8. Перестановки без повторений

Упражнения

218 219 220 221 222 223 224 225 226 227 228 229 230 231 232 233 234

9. Размещения без повторений.

Упражнения

235 236 237 238 239 240 241 242 243 244 245 246 247 248 249 250

10. Сочетания без повторений

Упражнения

251 252 253 254 255 256 257 258 259 260 261 262 263 264 265 266 267 268 269 270 271

11. Бином Ньютона и его свойства

Упражнения

272 273 274 275 276 277 278 279 280 281 282 283 284 285 286 287 288 289 290 291 292

12. Упражнения на повторение раздела «Элементы комбинаторики».

Упражнения

293 294 295 296 297 298 299 300 301 302 303 304 305 306 307 308 309 310 311

III. Последовательности.

13. Числовая последовательность, способы ее задания и свойства.

Упражнения

320 321 322 323 324 325 326 327 328 329 330 331 332 335 336 337 338 339 340 341

14. Метод математической индукции.

Упражнения

343 344 345 346 349 350 352 353 354 357 359

15. Арифметическая прогрессия и ее свойства

Упражнения

366 367 368 369 370 371 372 373 375 377 378 379 380 381 382 383 384 385 387 388 389 390 391

16. Сумма п первых членов арифметической прогрессии

Упражнения

392 393 394 395 397 398 399 400 402 403 406 407 408 409 410 412 413 414 415 416

17. Геометрическая прогрессия и ее свойства

Упражнения

420 421 422 423 424 426 427 428 429 430 431 433 434 435 436 437 438 439 440 441

18. Сумма п первых членов геометрической прогрессии.

Упражнения

444 446 448 449 450 453 454 455 456 457 458 460 461 462 463

19. Бесконечно убывающая геометрическая прогрессия.

Упражнения

465 466 467 468 469 470 471 472 473 474 475 476 478 479 480 481 483 484 485

20. Упражнения на повторение раздела «Последовательности».

Упражнения

488 489 491 492 495 496 497 498 499 500 501 502 503 504 505 506 508 509 510 511 512 513 515 516 517

IV. Тригонометрия

21. Градусная и радианная меры углов и дуг.

Упражнения

519 520 521 522 523 524 525 526 529 533 534 535 536 537 538 539 540 541

22. Синус, косинус, тангенс и котангенс произвольного угла.

Упражнения

543 545 547 548 551 554 555 556 557 558 559 561 562 563 564 565 566 567 568 569 571 572 573 574 575 576 577 578 579 580 581 582 583 584 585 586 587 588 589 590 591 592 593

23. Тригонометрические функции и их свойства.

Упражнения

597 598 599 600 602 604 605 606 607 608 609 610 611 613 614 615 616 617 618 619 620 621 623 625 626 627 628 629 630 631

24. Основные тригонометрические тождества

Упражнения

632 633 634 635 636 637 638 639 640 641 642 643 644 645 646 647 648 649 650 651 652 653 654 655 656 657

25. Формулы приведения.

Упражнения

659 660 661 662 664 665 666 667 668 669 670 671 672 673 674 675 676 677 678 679 681

26. Формулы косинуса, синуса, тангенса и котангенса суммы и разности двух углов

Упражнения

685 686 688 689 691 692 693 694 695 696 697 698 699 700 701 702 703 704 705 706 707 708 709 710

27. Формулы тригонометрических функций двойного и половинного углов

Упражнения

711 712 713 714 715 716 717 718 719 720 722 723 724 725 727 728 729 730 731 732 733 734 735 736

28. Преобразование суммы и разности тригонометрических функций в произведение

Упражнения

739 740 741 742 743 744 745 746 747 748 749 750 751 752 753 754 755 756 757 758 759 760 762

29. Преобразование произведения тригонометрических функций в сумму и разность.

Упражнения

764 765 766 767 768 769 770 771 772 773 774 775 776 777 778 779 781 782 783 784

V. Элементы теории вероятностей.

31. Первоначальные понятия теории вероятностей. Классическое определение понятия вероятности.

Упражнения

834 835 836 837 838 839 840 841 842 843 844 845 846 847 848 849 850 851 852 853 854

32. Статистическая вероятность.

Упражнения

855 856 857 858 859 860 861 862 863 864

33. Геометрическая вероятность

Упражнения

865 866 867 868 869 870 871 872 873 874 875 876 877

34. Упражнения на повторение раздела «Элементы теории вероятностей».

Упражнения

878 879 880 881 882 883 884 885 886 887 888 889 890 891