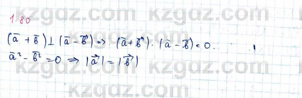
ГДЗ Геометрия Шыныбеков 9 класс 2019 Упражнение 1.8

Предмет: Геометрия

Издательство: Атамура

Язык: Казахский

Год: 2019

Раздел 1. Векторы на плоскости, 1.4. Угол между векторами. Скалярное произведение векторов, Упражнение, 1.8

Геометрия Шыныбеков 9 класс 2019 Упражнение 1.81

Раздел 0. Повторение материалов, пройденных в 7-8 классах

Упражнения

0.1 0.2 0.3 0.4 0.5 0.6 0.7 0.8 0.9 0.1 0.11 0.12 0.13 0.14 0.15 0.16 0.17 0.18 0.19 0.2 0.21 0.22 0.23 0.24 0.25 0.26 0.27 0.28 0.29 0.3 0.31 0.32 0.33 0.34 0.35 0.36 0.37 0.38 0.39 0.4

Раздел 1. Векторы на плоскости

1.1. Понятие вектора. Равенство векторов

Упражнения

1.1 1.2 1.3 1.4 1.5 1.6 1.7 1.8 1.9 1.1 1.11 1.12 1.13 1.14 1.15 1.16 1.17

1.2. Сложение и вычитание векторов

Упражнения

1.18 1.19 1.2 1.21 1.22 1.23 1.24 1.25 1.26 1.27 1.28 1.29 1.3 1.31 1.32 1.33 1.34 1.35 1.36 1.37 1.38 1.39 1.4 1.41 1.42 1.43 1.44 1.45 1.46 1.47

1.3. Умножение вектора на число

Упражнения

1.48 1.49 1.5 1.51 1.52 1.53 1.54 1.55 1.56 1.57 1.58 1.59 1.6 1.61 1.62 1.63 1.64 1.65

1.4. Угол между векторами. Скалярное произведение векторов

Упражнения

1.66 1.67 1.68 1.69 1.7 1.71 1.72 1.73 1.74 1.75 1.76 1.77 1.78 1.79 1.8 1.81 1.82 1.83 1.84 1.85 1.86 1.87 1.88 1.9 1.91 1.92 1.93 1.94 1.95

1.5. Координаты вектора

Упражнения

1.96 1.97 1.98 1.99 1.1 1.101 1.102 1.103 1.104 1.105 1.106 1.107 1.108 1.109 1.11 1.111 1.112 1.113 1.114 1.115 1.116 1.117 1.118 1.119 1.12 1.121 1.122 1.123 1.124 1.125 1.126

1.6. Выражение скалярного произведения через координаты векторов

Упражнения

1.127 1.128 1.129 1.13 1.131 1.132 1.133 1.134 1.135 1.136 1.137 1.138 1.139 1.14 1.141 1.142 1.143 1.144 1.145 1.146 1.147 1.148 1.149 1.15 1.151 1.152 1.153 1.154 1.155 1.156 1.157 1.158 1.159 1.16

1.7. Некоторые применения векторов при решении задач

Упражнения

1.161 1.162 1.163 1.164 1.165 1.166 1.167 1.168 1.169 1.17 1.171 1.172 1.173 1.174 1.175 1.176 1.177 1.178 1.179 1.18 1.181 1.182 1.183 1.184 1.185 1.187 1.188 1.189 1.19 1.191 1.192 1.193 1.194 1.195 1.196 1.197 1.198 1.199 1.2 1.201 1.202 1.203 1.204 1.205

Раздел 2. Преобразование плоскости

2.1. Центральная и осевая симметрии

Упражнения

2.1 2.2 2.3 2.4 2.5 2.6 2.7 2.8 2.9 2.1 2.11 2.12 2.13 2.14 2.15 2.16 2.17 2.18 2.19 2.2 2.21 2.22 2.23 2.24 2.25

2.2. Поворот и параллельный перенос

Упражнения

2.26 2.27 2.28 2.29 2.3 2.31 2.32 2.33 2.34 2.35 2.36 2.37 2.38 2.39 2.4 2.41 2.42 2.43 2.44 2.45 2.46 2.47 2.48 2.49 2.5

2.3. Движение и наложение

Упражнения

2.51 2.52 2.53 2.54 2.55 2.56 2.57 2.58 2.59 2.6 2.61 2.62 2.63 2.64 2.65 2.66 2.67 2.68 2.69 2.7 2.71 2.72 2.73

2.4. Преобразование подобия

Упражнения

2.74 2.75 2.76 2.77 2.78 2.79 2.8 2.81 2.82 2.83 2.84 2.85 2.86 2.87 2.88 2.89 2.9 2.91 2.92 2.93 2.94 2.95

2.5. Признаки подобия треугольников

Упражнения

2.96 2.97 2.98 2.99 2.1 2.101 2.102 2.103 2.104 2.105 2.106 2.107 2.108 2.109 2.11 2.111 2.112 2.113 2.114 2.115 2.116 2.117 2.118 2.119 2.12 2.121 2.122

2.6. Применение признаков подобия треугольников при решении задач. Свойство биссектрисы треугольника

Упражнения

2.123 2.124 2.125 2.126 2.127 2.128 2.129 2.13 2.131 2.132 2.133 2.134 2.135 2.136 2.137

Раздел 3. Решение треугольников

3.1. Теоремы косинусов и синусов

Упражнения

3.1 3.2 3.3 3.4 3.5 3.6 3.7 3.8 3.9 3.1 3.11 3.12 3.13 3.14 3.15 3.16 3.17 3.18 3.19 3.2 3.21 3.22 3.23 3.24 3.25 3.26 3.27 3.28 3.29 3.3 3.31

3.2. Решение треугольников

Упражнения

3.32 3.33 3.34 3.35 3.36 3.37 3.38 3.39 3.4 3.41 3.42 3.43 3.44 3.45 3.46 3.47 3.48 3.49 3.5 3.51 3.52 3.53 3.54 3.55 3.56 3.57 3.58 3.59 3.6 3.61 3.62

3.3. Применение тригонометрии

Упражнения

3.63 3.64 3.65 3.66 3.67 3.68 3.69 3.7 3.71 3.72 3.73 3.74 3.75 3.76 3.77 3.79 3.8 3.81 3.82 3.83 3.84 3.85 3.86 3.87 3.88 3.89

Раздел 4. Окружность. Многоугольники

4.1. Длина окружности

Упражнения

4.1 4.2 4.3 4.4 4.5 4.6 4.7 4.8 4.9 4.1 4.11 4.12 4.13 4.14 4.15 4.16 4.17 4.18 4.19 4.2 4.21

4.2. Площадь круга и его частей

Упражнения

4.22 4.23 4.24 4.25 4.26 4.27 4.28 4.29 4.3 4.31 4.32 4.33 4.34 4.35 4.36 4.37 4.38 4.39

4.3. Вписанные и описанные четырехугольники

Упражнения

4.4 4.41 4.42 4.43 4.44 4.45 4.46 4.47 4.48 4.49 4.5 4.51 4.52 4.53 4.54 4.55 4.56 4.57 4.58 4.59 4.6

4.4. Пропорциональные отрезки круга

Упражнения

4.61 4.62 4.63 4.64 4.65 4.66 4.67 4.68 4.69 4.7 4.71 4.72 4.73 4.74 4.75 4.76 4.77 4.78 4.79 4.8 4.81 4.82 4.83 4.84 4.85 4.86 4.87 4.88 4.89 4.9 4.91 4.92 4.93 4.94 4.95 4.96 4.97 4.98

4.5. Многоугольники

Упражнения

4.99 4.1 4.101 4.102 4.103 4.104 4.105 4.106 4.107 4.108 4.109 4.11 4.111 4.112 4.113 4.114 4.115 4.116 4.117 4.118 4.119 4.12 4.121 4.122 4.123 4.124 4.125 4.126 4.127 4.128 4.129 4.13 4.131 4.132 4.133 4.134 4.135 4.136 4.137 4.138 4.139 4.14 4.141 4.142 4.143 4.144 4.145 4.146 4.147 4.148 4.149 4.15 4.151 4.152 4.153 4.154