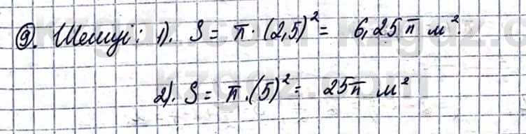
ГДЗ Геометрия Смирнов В. 9 класс 2019 Упражнение 23.9

Предмет: Геометрия

Издательство: Мектеп

Язык: Казахский

Год: 2019

Глава 4. Окружность. Многоугольники, 23. Площадь круга и его частей, Упражнение, 23.9

Геометрия Смирнов В. 9 класс 2019 Упражнение 23.91

Повторение курса геометрии для 8 классов

Повторение

1.1 1.2 1.3 1.4 1.5 1.6 1.7 1.8 1.9 1.1 1.11 1.12 1.13 1.14 1.15 1.16 1.17 1.18 1.19 1.2 1.21 1.22 1.23 1.24 1.25 1.26 1.27 1.28 1.29 2.1 2.2 2.3 2.4 2.5 2.6 2.7 2.8 2.9 2.1 2.11 2.12 2.13 2.14 2.15 2.16 2.17 2.18 2.19 2.2 2.21 2.22 2.23 2.24 2.25 2.26 2.27 2.28 2.29 2.3 3.1 3.2 3.3 3.4 3.5 3.6 3.7 3.8 3.9 3.1 3.11 3.12 3.13 3.14 3.15 3.16 3.17 3.18 3.19 3.2 3.21 3.22 3.23 3.24 4.1 4.2 4.3 4.4 4.5 4.6 4.7 4.8 4.9 4.1 4.11 4.12 4.13 4.14 4.15 4.16 4.17 4.18 4.19 4.2 4.21 4.22 4.23 4.24 4.25 4.26 4.27 4.28 4.29 4.3 4.31 4.32 4.33 4.34 4.35 4.36 4.37 4.38 4.39 4.4 5.1 5.2 5.3 5.4 5.5 5.6 5.7 5.8 5.9 5.1 5.11 5.12 5.13 5.14 5.15 5.16 5.17 5.18 5.19 5.2 5.21 5.22 5.23 5.24 5.25

Глава 1. Векторы на плоскости

1.Понятие вектора

Упражнения

1.1 1.2 1.3 1.4 1.5 1.6 1.7 1.8 1.9 1.1 1.11 1.12 1.13 1.14 1.15 1.16 1.17

2. Сложение векторов

Упражнения

2.1 2.2 2.3 2.4 2.5 2.6 2.7 2.8 2.9 2.1 2.11 2.12 2.13 2.14 2.15 2.16 2.17

3. Умножение вектора на число

Упражнения

3.1 3.2 3.3 3.4 3.5 3.6 3.7 3.8 3.9 3.1 3.11 3.12 3.13 3.14 3.15 3.16 3.17 3.18

4. Разложение вектора

Упражнения

4.1 4.2 4.3 4.4 4.5 4.6 4.7 4.8 4.9 4.1 4.11 4.12 4.13 4.14 4.15 4.16 4.17 4.18

5. Угол между векторами. Скалярное произведение векторов

Упражнения

5.1 5.2 5.3 5.4 5.5 5.6 5.7 5.8 5.9 5.1 5.11 5.12 5.13 5.14 5.15 5.16 5.17 5.18 5.19 5.2 5.21 5.22 5.23 5.24

6. Координаты вектора

Упражнения

6.1 6.2 6.3 6.4 6.5 6.6 6.7 6.8 6.9 6.1 6.11 6.12 6.13 6.14 6.15 6.16 6.17 6.18 6.19

7*. Уравнение прямой

Упражнения

7.1 7.2 7.3 7.4 7.5 7.6 7.7 7.8 7.9 7.1 7.11 7.12 7.13 7.14 7.15 7.16 7.17 7.18

Проверь себя!

Проверь себя

1 2 3 4 5 6 7 8 9 10 11 12 13 14 15 16 17 18 19 20

Глава 2. Преобразования плоскости

8. Параллельный переное

Упражнения

8.1 8.2 8.3 8.4 8.5 8.6 8.7 8.8 8.9 8.1 8.11 8.12 8.13 8.14 8.15 8.16 8.17 8.18 8.19 8.2 8.21 8.22 8.23

9. Осевая симметрия

Упражнения

9.1 9.2 9.3 9.4 9.5 9.6 9.7 9.8 9.9 9.1 9.11 9.12 9.13 9.14 9.15 9.16 9.17 9.18 9.19 9.2 9.21 9.22 9.23 9.24 9.25

10. Центральная симметрия

Упражнения

10.1 10.2 10.3 10.4 10.5 10.6 10.7 10.8 10.9 10.1 10.11 10.12 10.13 10.14 10.15 10.16 10.17 10.18 10.19 10.2 10.21 10.22 10.23 10.24 10.25 10.26 10.27

11. Поворот. Симметрия п-го порядка

Упражнения

11.1 11.2 11.3 11.4 11.5 11.6 11.7 11.8 11.9 11.1 11.11 11.12 11.13 11.14

12. Движение. Равенство фигур

Упражнения

12.1 12.2 12.3 12.4 12.5 12.6 12.7 12.8 12.9 12.1 12.11 12.12 12.13 12.14 12.15 12.16 12.17

13. Подобие фигур. Гомотетия

Упражнения

13.1 13.2 13.3 13.4 13.5 13.6 13.7 13.8 13.9 13.1 13.11 13.12 13.13 13.14 13.15 13.16 13.17 13.18 13.19

14. Признаки подобия треугольников

Упражнения

14.1 14.2 14.3 14.4 14.5 14.6 14.7 14.8 14.9 14.1 14.11 14.12 14.13 14.14 14.15 14.16 14.17 14.18 14.19 14.2 14.21 14.22 14.23 14.24 14.25 14.26 14.27 14.28 14.29 14.3 14.31 14.32 14.33 14.34 14.35 14.36 14.37 14.38 14.39 14.4 14.41 14.42 14.43 14.44 14.45 14.46 14.47 14.48 14.49 14.5 14.51 14.52

Проверь себя!

Проверь себя

1 2 3 4 5 6 7 8 9 10 11 12 13 14 15 16 17 18 19 20

Глава 3. Решение треугольников

15. Теорема синусов

Упражнения

15.1 15.2 15.3 15.4 15.5 15.6 15.7 15.8 15.9 15.1 15.11 15.14 15.15 15.16 15.17 15.18 15.19

16. Теорема косинусов

Упражнения

16.1 16.2 16.3 16.4 16.5 16.6 16.7 16.8 16.9 16.1 16.11 16.12 16.13 16.14 16.15 16.16 16.17 16.18 16.19 16.2 16.21 16.22

17. Углы, вписанные в окружность

Упражнения

17.1 17.2 17.3 17.4 17.5 17.6 17.7 17.8 17.9 17.1 17.11 17.12 17.13 17.14 17.15 17.16 17.17 17.18 17.19 17.2 17.21 17.22 17.23 17.24 17.25 17.26

18. Углы, связанные с окружностью

Упражнения

18.1 18.2 18.3 18.4 18.5 18.6 18.7 18.8 18.9 18.1 18.11 18.12 18.13 18.14 18.15 18.16

19. Отрезки. связанные с окружностью

Упражнения

19.1 19.2 19.3 19.4 19.5 19.6 19.7 19.8 19.9 19.1 19.11 19.12 19.13 19.14 19.15 19.16 19.17

Проверь себя!

Проверь себя

1 2 3 4 5 6 7 8 9 10 11 12 13 14 15 16 17 18 19 20

Глава 4. Окружность. Многоугольники

20. Треугольники и окружность

Упражнения

20.1 20.2 20.3 20.4 20.5 20.6 20.7 20.8 20.9 20.1 20.11 20.12 20.13 20.14 20.15 20.16 20.17 20.19 20.2 20.21 20.22 20.23 20.24 20.25

21. Четырехугольники и окружность

Упражнения

21.1 21.2 21.3 21.4 21.5 21.6 21.7 21.8 21.9 21.1 21.11 21.12 21.13 21.14 21.15 21.16 21.17 21.18 21.19 21.2 21.21 21.22 21.23 21.24

22. Правильные многоугольники окружность

Упражнения

22.1 22.2 22.3 22.4 22.5 22.6 22.7 22.8 22.9 22.1 22.11 22.12 22.13 22.14 22.15 22.16 22.17 22.18 22.19 22.2 22.21 22.22 22.23 22.24 22.25 22.26 22.27 22.28 22.29 22.3 22.31 22.32 22.33 22.34

23. Площадь круга и его частей

Упражнения

23.1 23.2 23.3 23.4 23.5 23.6 23.7 23.8 23.9 23.1 23.11 23.12 23.13 23.14 23.15 23.16 23.17 23.18 23.19 23.2 23.21 23.22 23.23 23.24 23.25 23.26 23.27 23.28 23.29 23.3

24*. Тригонометрические функции произвольных градусных величин

Упражнения

24.1 24.2 24.3 24.4 24.5 24.6 24.7 24.8 24.9 24.1 24.11 24.12 24.13 24.14 24.15 24.16 24.17 24.18 24.19 24.2

Проверь себя!

Проверь себя

1 2 3 4 5 6 7 8 9 10 11 12 13 14 15 16 17 18 19 20

Повторение курса геометрии для 9 классов

Итоговое повторение

1.1 1.2 1.3 1.4 1.5 1.6 1.7 1.8 1.9 1.1 1.11 1.12 1.13 1.14 1.15 1.16 1.17 1.18 1.19 1.2 1.21 1.22 1.23 1.24 1.25 1.26 1.27 1.28 1.29 1.3 1.31 1.32 1.33 1.34 2.1 2.2 2.3 2.4 2.5 2.6 2.7 2.8 2.9 2.1 2.11 2.12 2.13 2.14 2.15 2.16 2.17 2.18 2.19 2.2 2.21 2.22 2.23 2.24 2.25 2.26 2.27 2.28 2.29 2.3 2.31 2.32 2.33 2.34 2.35 2.36 2.37 2.38 2.39 2.4 2.41 2.42 2.43 2.44 2.45 2.46 2.47 2.48 2.49 2.5 2.51 2.52 2.53 2.54 2.55 2.56 2.57 2.58 2.59 2.6 2.61 2.62 2.63 2.64 2.65 2.66 2.67 2.68 2.69 2.7 3.1 3.2 3.3 3.4 3.5 3.6 3.7 3.8 3.9 3.1 3.11 3.12 3.13 3.14 3.15 3.16 3.17 3.18 3.19 3.2 3.21 3.22 3.23 3.24 3.25 3.26 3.27 3.28 3.29 3.3 3.31 3.32 3.33 3.34 3.35 3.36 3.37 3.38 3.39 3.4 4.1 4.2 4.3 4.4 4.5 4.6 4.7 4.8 4.9 4.1 4.11 4.12 4.13 4.14 4.15 4.16 4.17 4.18 4.19 4.2 4.21 4.22 4.23 4.24 4.25 4.26 4.27 4.28 4.29 4.3 4.31 4.32 4.33 4.34 4.35 4.36 4.37 4.38 4.39 4.4 4.41 4.42 4.43 4.44 4.45