ГДЗ Алгебра (Обще-гуманитарное направление) Абылкасымова 10 ОГН класс 2019 Упражнение 18.2

Предмет: Алгебра

Издательство: Мектеп

Язык: Русский

Год: 2019

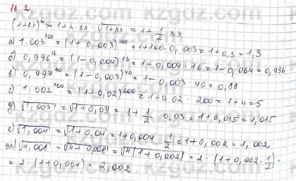
Глава 5. Производная, §18. Приближенные вычисления, Упражнение, 18.2

Алгебра (Обще-гуманитарное направление) Абылкасымова 10 ОГН класс 2019 Упражнение 18.21

Упражнения для повторения курса алгебры 7-9 классов

Повторение

1 2 3 4 5 6 7 8 9 10 11 12 13 14 15 16 17 18 19 20 21 22 23 24 25 26 27 28

Глава 1. Функция, ее свойства и график

§1. Функция и способы ее задания

Упражнения

1.1 1.2 1.3 1.4 1.5 1.6 1.7 1.8 1.9 1.1 1.11 1.12 1.13

§2. Простейшие преобразования графиков функции

Упражнения

2.1 2.2 2.3 2.4 2.5 2.6 2.7 2.8 2.9 2.1 2.11

§3. Свойства функции

Упражнения

3.1 3.2 3.3 3.4 3.5 3.6 3.7 3.8 3.9 3.1 3.11

§4. Обратная функция. Сложная функция

Упражнения

4.1 4.2 4.3 4.4 4.5 4.6 4.7 4.8 4.9 4.1

Проверь себя! Глава 1

Проверь себя

1 2 3 4 5 6 7 8 9 10 11 12 13 14 15 16 17 18 19 20 21 22 23 24 25 26 27

Глава 2. Тригонометрические функции

§5. Тригонометрические функции, их свойства и графики

Упражнения

5.1 5.2 5.3 5.4 5.5 5.6 5.7

§6. Арксинус, арккосинус, арктангенс, арккотангенс

Упражнения

6.1 6.2 6.3 6.4 6.5 6.6 6.7 6.8 6.9 6.1 6.11

Проверь себя! Глава 2

Проверь себя

1 2 3 4 5 6 7 8 9 10 11 12 13 14 15

Глава 3. Тригонометрические уравнения и неравенства

§7. Простейшие тригонометрические уравнения

Упражнения

7.1 7.2 7.3 7.4 7.5 7.6 7.7 7.8 7.9 7.1 7.11 7.12

§8. Решение тригонометрических уравнений

Упражнения

8.1 8.2 8.3 8.4 8.5 8.6 8.7 8.8 8.9 8.1 8.11 8.12 8.13 8.14

§9. Решение тригонометрических неравенств

Упражнения

9.1 9.2 9.3 9.4 9.5 9.6 9.7 9.8 9.9

Проверь себя! Глава 3

Проверь себя

1 2 3 4 5 6 7 8 9 10 11 12 13 14 15 16 17 18

Глава 4. Ветоятность

§10. Вероятность события и ее свойства

Упражнения

10.1 10.2 10.3 10.4 10.5 10.6 10.7 10.8

§11. Правила сложения и умножения вероятностей

Упражнения

11.1 11.2 11.3 11.4 11.5 11.6 11.7 11.8 11.9

Проверь себя! Глава 4

Проверь себя

1 2 3 4 5 6 7 8 9 10 11 12 13 14 15

Глава 5. Производная

§12. Предел функции в точке. Непрерывность функции

Упражнения

12.1 12.2 12.3 12.4 12.5 12.6 12.7 12.8 12.9

§13. Определение производной

Упражнения

13.1 13.2 13.3 13.4 13.5 13.6 13.7 13.8 13.9

§14. Правила нахождения производных

Упражнения

14.1 14.2 14.3 14.4 14.5 14.6 14.7 14.8 14.9 14.1 14.11 14.12

§15. Физический и геометрический смысл производной. Касательная к графику функции

Упражнения

15.1 15.2 15.3 15.4 15.5 15.6 15.7 15.8 15.9 15.1 15.11

§16. Производная сложной функции

Упражнения

16.1 16.2 16.3 16.4 16.5 16.6 16.7 16.8 16.9

§17. Производные тригонометрических функций

Упражнения

17.1 17.2 17.3 17.4 17.5 17.6 17.7 17.8 17.9 17.1 17.11 17.12 17.13 17.14 17.15

§18. Приближенные вычисления

Упражнения

18.1 18.2 18.3 18.4 18.5 18.6 18.7

Проверь себя! Глава 5

Проверь себя

1 2 3 4 5 6 7 8 9 10 11 12 13 14 15 16 17 18 19 20 21 22 23 24 25

Глава 6. Применение производной

§19. Признаки возрастания и убывания функции

Упражнения

19.1 19.2 19.3 19.4 19.5 19.6 19.7 19.8 19.9 19.1 19.11 19.12 19.13

§20. Критические точки и экстремумы функции

Упражнения

20.1 20.2 20.3 20.4 20.5 20.6 20.7 20.8 20.9 20.1 20.11 20.12 20.13

§21. Исследование функции с помощью производной и построение ее графика

Упражнения

21.1 21.2 21.3 21.4 21.5 21.6 21.7

§22. Наибольшее и наименьшее значения функции на отрезке

Упражнения

22.1 22.2 22.3 22.4 22.5 22.6 22.7 22.8 22.9 22.1 22.11 22.12 22.13 22.14 22.15 22.16

Проверь себя! Глава 6

Проверь себя

1 2 3 4 5 6 7 8 9 10 11 12 13 14 15 16 17 18 19 20 21 22 23 24 25

Глава 7. Случайные велечины и их числовые характеристики

§23. Случайная величина и ее виды. Закон распределения случайной величины

Упражнения

23.1 23.2 23.3 23.4 23.5 23.6 23.7 23.8

§24. Числовые характеристики случайной величины

Упражнения

24.1 24.2 24.3 24.4 24.5 24.6 24.7 24.8 24.9 24.1 24.11 24.12 24.13 24.14 24.15

Проверь себя! Глава 7

Проверь себя

1 2 3 4 5 6 7 8 9 10 11 12 13

Упражнения для повторения курса алгебры и начал анализа 10 класса

Итоговое повторение

1 2 3 4 5 6 7 8 9 10 11 12 13 14 15 16 17 18 19 20 21 22 23 24 25 26 27 28 29 30 31 32 33 34 35 36 37 38 39 40 41 42 43 44 45 46 47 48 49 50 51 52 53 54 55 56 57 58 59 60 61 62 63 64 65