Авторы: Абылкасымова А.Е., Кучер Т.П., Корчевский В.Е., Жумагулова З.А.
Предмет: Алгебра
Издательство: Мектеп
Язык: Казахский
Год: 2017
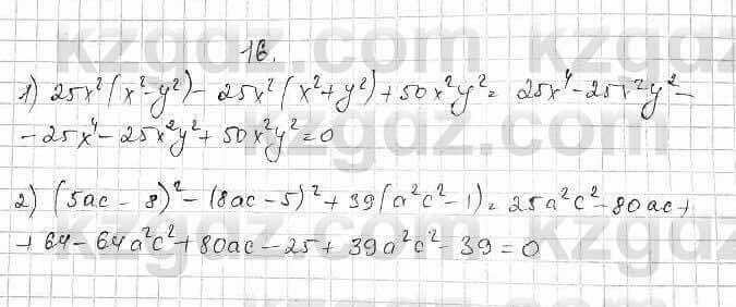
Подробное решение, ответы и гдз Алгебра Абылкасымова 7 класс 2017 Мектеп Упражнения для повторения курса математики 5 и 6 классов, Повторение 16. Для школьников из Казахстана, Узбекистана и России.