ГДЗ Алгебра Абылкасымова 7 класс 2017 Упражнение 19.4

Предмет: Алгебра

Издательство: Мектеп

Язык: Казахский

Год: 2017

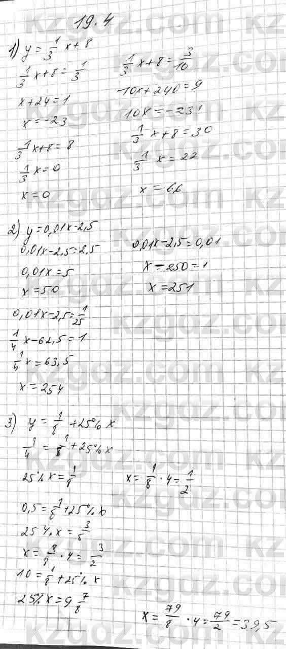
Глава 3. ФУНКЦИЯ. ГРАФИК ФУНКЦИИ, §19. Задание функции с помощью формулы, Упражнение, 19.4

Алгебра Абылкасымова 7 класс 2017 Упражнение 19.41

Упражнения для повторения курса математики 5 и 6 классов

Повторение

1 2 3 4 5 6 7 8 9 10 11 12 13 14 15 16 17 18 19 20 21 22 23 24 25 26 27 28 29 30 31 32 33 34 35 36 37 38 39 40 41 42 43 44 45 46 47 48 49 50 51 52 53 54 55 56 57 58 59 60 61 63 64 65 66 67 68 69 70 71 72 73 74 75 76 77 78 79 80 81 82 83 84 85 86 87 88 89 90 91 92 93 94 95 96

Глава 1. СТЕПЕНЬ С ЦЕЛЫМ ПОКАЗАТЕЛЕМ

§ 1. Степень с натуральным показателем

Упражнения

1.1 1.2 1.3 1.4 1.5 1.6 1.7 1.8 1.9 1.1 1.11 1.12 1.13 1.14 1.15 1.16 1.17 1.18 1.19

§ 2. Умножение степенен с одинаковыми основаниями

Упражнения

2.1 2.2 2.3 2.4 2.5 2.6 2.7 2.8 2.9 2.1 2.11 2.12 2.13 2.14 2.15 2.16

§ 3. Деление степеней с одинаковыми основаниями.

Упражнения

3.1 3.2 3.3 3.4 3.5 3.6 3.7 3.8 3.9 3.1 3.11 3.12 3.13 3.14 3.15 3.16 3.17 3.18 3.19 3.2 3.21 3.22

§ 4. Возведение степени в степень

Упражнения

4.1 4.2 4.3 4.4 4.5 4.6 4.7 4.8 4.9 4.1 4.11 4.12 4.13 4.14 4.15 4.16

§ 5. Возведение произведения и частного в степень

Упражнения

5.1 5.2 5.3 5.4 5.5 5.6 5.7 5.8 5.9 5.1 5.11 5.12 5.13 5.14 5.15 5.16 5.17 5.18 5.19 5.2

§ 6. Степень с целым показателем

Упражнения

6.1 6.2 6.3 6.4 6.5 6.6 6.7 6.8 6.9 6.1

§ 7. Свойства степени с целым показателем

Упражнения

7.1 7.2 7.3 7.4 7.5 7.6 7.7 7.8 7.9 7.1 7.11 7.12 7.13 7.14 7.15 7.16 7.17 7.18 7.19

§ 8. Стандартный вид числа. Решение практических задач, содержащих большие и малые величины

Упражнения

8.1 8.2 8.3 8.4 8.5 8.6 8.7 8.8 8.9 8.1 8.11 8.12 8.13 8.14 8.15 8.16 8.17 8.18 8.19 8.2

§ 9. Преобразование выражений, содержащих степени. Числовые последовательности, содержащие степени

Упражнения

9.1 9.2 9.3 9.4 9.5 9.6 9.7 9.8 9.9 9.1 9.11 9.12 9.13 9.14 9.15 9.16 9.17 9.18 9.19 9.2 9.21 9.22 9.23 9.24 9.25 9.26 9.27 9.28 9.29

Проверь себя!

Проверь себя

1 2 3 4 5 6 7 8 9 10

Глава 2. МНОГОЧЛЕНЫ

§10. Одночлены и действия над ними.

Упражнения

10.1 10.2 10.3 10.4 10.5 10.6 10.7 10.8 10.9 10.1 10.11 10.12 10.13 10.14 10.15 10.16 10.17

§11. Многочлен. Стандартный вид многочлена. Степень многочлена

Упражнения

11.1 11.2 11.3 11.4 11.5 11.6 11.7 11.8 11.9 11.1 11.11 11.12 11.13 11.14 11.15 11.16 11.17 11.18

§12. Сложение и вычитание многочленов

Упражнения

12.1 12.2 12.3 12.4 12.5 12.6 12.7 12.8 12.9 12.1 12.11 12.12 12.13 12.14 12.15 12.16 12.17 12.18 12.19 12.2 12.21 12.22 12.23

§13. Умножение многочленов

Упражнения

13.1 13.2 13.3 13.4 13.5 13.6 13.7 13.8 13.9 13.1 13.11 13.12 13.13 13.14 13.15 13.16 13.17 13.18 13.19 13.2

§14. Деление одночлена и многочлена на одночлен

Упражнения

14.1 14.2 14.3 14.4 14.5 14.6 14.7 14.8 14.9 14.1 14.12

§15. Разложение многочлена на множители

Упражнения

15.1 15.2 15.3 15.4 15.5 15.6 15.7 15.8 15.9 15.1 15.11 15.12 15.13 15.14 15.15 15.16

§16. Разложение многочлена на множители способом группировки

Упражнения

16.1 16.2 16.3 16.4 16.5 16.6 16.7 16.8 16.9 16.1 16.11 16.12 16.13

§17. Тождественные преобразования выражений

Упражнения

17.1 17.2 17.3 17.4 17.5 17.6 17.7 17.8 17.9 17.1 17.11 17.12 17.13 17.14 17.15 17.16 17.17 17.18 17.19

Проверь себя!

Проверь себя

1 2 3 4 5 6 7 8 9 10 11 12 13 14 15 16 17 18 19 20

Глава 3. ФУНКЦИЯ. ГРАФИК ФУНКЦИИ

§18. Функция

Упражнения

18.1 18.2 18.3 18.4 18.5 18.6 18.7 18.8 18.9 18.1 18.11 18.12

§19. Задание функции с помощью формулы

Упражнения

19.1 19.2 19.3 19.4 19.5 19.6 19.7 19.8 19.9 19.1 19.11

§ 20. Табличный способ задания ф^шкции

Упражнения

20.2 20.3 20.4 20.5 20.6 20.7 20.8 20.9

§ 21. Графический способ задания функции

Упражнения

21.1 21.2 21.3 21.4 21.5 21.6 21.7 21.8 21.9 21.1 21.11 21.12

§ 22. Линейная функция и ее график

Упражнения

22.1 22.2 22.3 22.4 22.5 22.6 22.7 22.8 22.9 22.1 22.11 22.12 22.13 22.14 22.15 22.16

§ 23. Взаимное расположение графиков линейных функций

Упражнения

23.1 23.2 23.3 23.4 23.5 23.6 23.7 23.8 23.9 23.1 23.11 23.12 23.13 23.14 23.15 23.16

§ 24. Решение систем двух линейных уравнений с двумя переменными графическим способом

Упражнения

24.1 24.2 24.3 24.4 24.5 24.6 24.7 24.8 24.9 24.1 24.11

§ 25. Функция y = ах2, ее свойства и график

Упражнения

25.1 25.2 25.3 25.4 25.5 25.6 25.7 25.8 25.9 25.1 25.13

§ 26. Функция у = ах3 ее свойства и график

Упражнения

26.1 26.2 26.3 26.4 26.5 26.6 26.7 26.8 26.9 26.1 26.11 26.12 26.13

§ 27. Функция у = x/k , ее свойства и график

Упражнения

27.1 27.2 27.3 27.4 27.5 27.6 27.7 27.8 27.9 27.1 27.11 27.12 27.13

Проверь себя!

Проверь себя

1 2 3 4 5 6 7 8 9 10

Глава 4. ЭЛЕМЕНТЫ СТАТИСТИКИ

§ 28. Вариационные ряды

Упражнения

28.1 28.2 28.3 28.4 28.5 28.6 28.7 28.8

§ 29. Абсолютная частота и относительная частота. Таблица частот

Упражнения

29.5 29.7

§ 30. Полигон частот

Упражнения

30.1 30.2 30.3 30.4 30.5 30.6 30.7 30.8 30.9 30.1 30.11

Проверь себя!

Проверь себя

1 2 3 4 5 6

Глава 5. ФОРМУЛЫ СОКРАЩЕННОГО УМНОЖЕНИЯ

§31. Формула разности квадратов двух выражений

Упражнения

31.1 31.2 31.3 31.4 31.5 31.6 31.7 31.8 31.9 31.1 31.11 31.12 31.13 31.14 31.15 31.16 31.17 31.18 31.19 31.2 31.21 31.22 31.23 31.24 31.25 31.26 31.27 31.28

§ 32. Формулы квадрата суммы и квадрата разности двух выражений

Упражнения

32.1 32.2 32.3 32.4 32.5 32.6 32.7 32.8 32.9 32.1 32.11 32.12 32.13 32.14 32.15 32.16 32.17 32.18 32.19 32.2 32.21 32.22 32.23 32.24 32.25 32.26 32.27 32.28 32.29 32.3 32.31 32.32 32.33 32.34

§ 33. Формулы куба суммы и куба разности двух выражений.

Упражнения

33.1 33.2 33.3 33.4 33.5 33.6 33.7 33.8 33.9 33.1 33.11 33.12 33.13 33.14 33.15 33.16 33.17 33.18 33.19 33.2 33.21 33.22

§ 34. Формулы суммы и разности кубов двух выражений

Упражнения

34.1 34.2 34.3 34.4 34.5 34.6 34.7 34.8 34.9 34.1 34.11 34.12 34.13 34.14 34.15 34.16 34.17 34.18 34.19 34.2

§ 35. Тождественные преобразования выражений

Упражнения

35.1 35.2 35.3 35.4 35.5 35.6 35.7 35.8 35.9 35.1 35.11 35.12 35.13 35.14 35.15 35.16 35.17 35.18 35.19 35.2 35.21 35.22 35.23 35.24 35.25 35.27 35.28 35.29

§ 36. Решение текстовых задач с помощью составления уравнений и неравенств

Упражнения

36.1 36.2 36.3 36.4 36.5 36.6 36.7 36.8 36.9 36.1 36.11 36.12 36.13 36.14 36.15 36.16 36.17 36.18 36.19 36.2 36.21 36.22 36.23 36.24 36.25 36.26 36.27 36.28 36.29 36.3 36.31

Проверь себя!

Проверь себя

1 2 3 4 5 6 7 8 9 10 11 12 13 14 15 16 17 18 19 20

Глава 6. АЛГЕБРАИЧЕСКИЕ ДРОБИ

§37. Алгебраическая дробь

Упражнения

37.1 37.2 37.3 37.4 37.5 37.6 37.7 37.8 37.9 37.1 37.11 37.12

§ 38. Основное свойство алгебраической дроби

Упражнения

38.1 38.2 38.3 38.4 38.5 38.6 38.7 38.8 38.9 38.1 38.11 38.12

§ 39. Сложение и вычитание алгебраических дробей

Упражнения

39.1 39.2 39.3 39.4 39.5 39.6 39.7 39.8 39.9 39.1 39.11 39.12 39.13 39.14 39.15 39.16 39.17 39.18 39.19 39.2 39.21 39.22 39.23 39.24 39.25

§ 40. Умножение, возведение в степень и деление алгебраических дробей

Упражнения

40.1 40.2 40.3 40.4 40.5 40.6 40.7 40.8 40.9 40.1 40.11 40.12 40.13 40.14 40.15 40.16 40.17 40.18 40.19

§ 41. Тождественные преобразования алгебраических выражений

Упражнения

41.1 41.2 41.3 41.4 41.5 41.6 41.7 41.8 41.9 41.1 41.11 41.12 41.13 41.14 41.15 41.16 41.17 41.18 41.19 41.2 41.21 41.22 41.23 41.24 41.25 41.26

Проверь себя!

Проверь себя

1 2 3 4 5 6 7 8 9 10 11 12 13 14 15 16 17 18

Упражнения для повторения курса алгебры для 7 класса

Итоговое повторение

1 2 3 4 5 6 7 8 9 10 11 12 13 14 15 16 17 18 19 20 21 22 23 24 25 26 27 28 29 30 31 32 33 34 35 36 37 38 39 40 41 42 43 44 45 46 47 48 49 50 51 52 53 54 55 56 57 58 59 60 61