ГДЗ Алгебра Абылкасымова 7 класс 2017 Упражнение 31.5
Предмет: Алгебра
Издательство: Мектеп
Язык: Казахский
Год: 2017
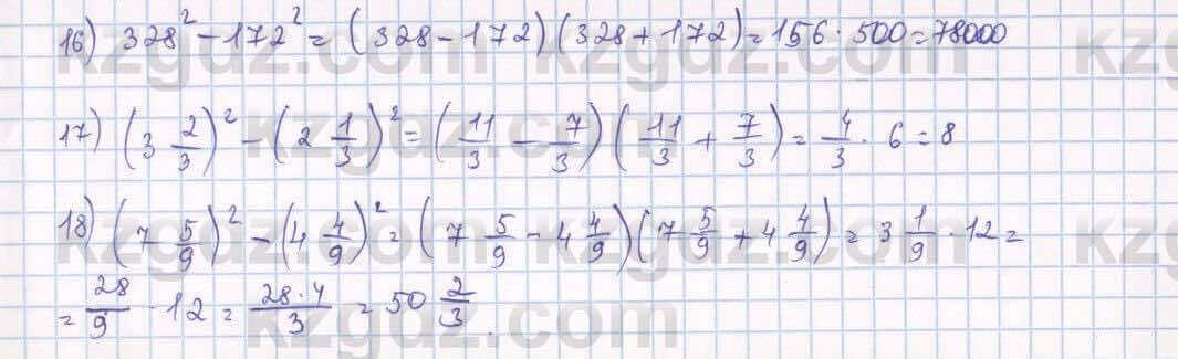
Глава 5. ФОРМУЛЫ СОКРАЩЕННОГО УМНОЖЕНИЯ, §31. Формула разности квадратов двух выражений, Упражнение, 31.5






Предмет: Алгебра
Издательство: Мектеп
Язык: Казахский
Год: 2017