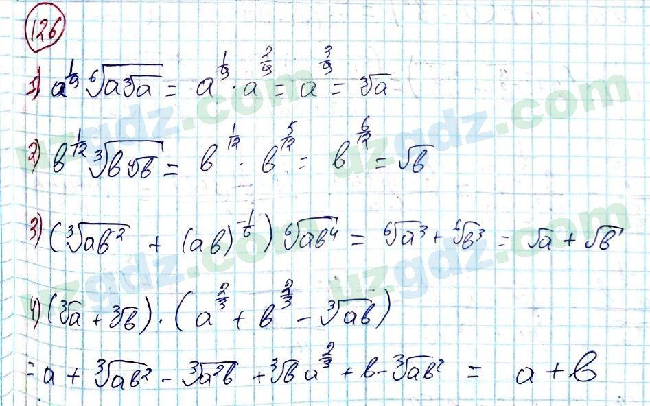
ГДЗ Алгебра Алимов 8 класс 2019 Упражнение 126

Предмет: Алгебра

Издательство: O'QITUVCHF

Язык: Русский

Год: 2019

ГЛАВА I. АЛГЕБРАИЧЕСКИЕ ДРОБИ И ДЕЙСТВИЯ НАД НИМИ, §9. Степень с рациональным показателем и его свойства, Упражнение, 126

Алгебра Алимов 8 класс 2019 Упражнение 1261 Алгебра Алимов 8 класс 2019 Упражнение 1261

Повторение курса Алгебры 7 класса

Повторение

1 2 3 4 5 6 7 8 9 10 11 12 13 14 15 16 17 18 19 20 21 22 23 24 25 26 27 28

ГЛАВА I. АЛГЕБРАИЧЕСКИЕ ДРОБИ И ДЕЙСТВИЯ НАД НИМИ

§1. Алгебраические выражения

Упражнения

1 2 3 4 5 6 7 8 9 10 11 12 13 14 15 16

§2. Алгебраическая дробь. Сокращение дробей

Упражнения

21 22 23 24 25 26 27 28 29 30 31 32 33 34 35 36 37 38 39 40 41 42 43 44 45

§3. Приведение дробей к общему знаменателю

Упражнения

46 47 48 49 50 51 52 53

§4. Сложение и вычитание алгебраических дробей

Упражнения

54 55 56 57 58 59 60 61 62 63 64 65 66 67 68 69 70 71 72 73

§5. Умножение и деление алгебраических дробей

Упражнения

74 75 76 77 78 79 80 81 82 83 84 85 86

§6. Замена дробно-рациональных выражений тождественными

Упражнения

87 88 89 90 91 92 93 94 95 96

§7. Функция У = k/x . Ее свойства и график

Упражнения

97 98 99 100 101 102 103 104

§8. Арифмерический корень натуральной степени и его свойства....

Упражнения

106 107 108 109 110 111 112 113 114

§9. Степень с рациональным показателем и его свойства

Упражнения

117 118 119 120 121 122 123 124 125 126 127 128 129

§10. Упрощение алгебраических выражений, содержащих степень с рациональным показателем

Упражнения

130 131 132 133 134 135 136 137 138 139 140 141 142 143 144 145

Упражнения к главе I

Упражнения

147 148 149 150 151 152 153 154 155 156 157 158 159

Проверь себя

Проверь себя

1 2 3 4 5 6

Тестовые задания к главе I.

Тесты

1 2 3 4 5 6 7 8 9 10 11 12 13 14 15 16 17 18 19 20 21 22

ГЛАВА II НЕРАВЕНСТВА

§11. Числовые неравенства

Упражнения

178 179 180 181 182 183

§12. Основые свойства числовых неравенств

Упражнения

184 185 186 187 188 189 190 191 192 193 194

§13. Сложение и умножение неравенств

Упражнения

196 197 199 200 201 202 204 205 206 207 208 209

§14. Возведение числовых неравенств в степень

Упражнения

211 212 213 214 215 216 217 218

§15. Неравенство с одним неизвестным

Упражнения

219 220 221 222 223 224 225 226 227 228 229 230 231 232 233 234 235 236 237 238 239 240

§16. Системы неравенств с одним неизвестным. Числовые промежутки..94

Упражнения

241

§16. Системы неравенств с одним неизвестным. Числовые промежутки..95

Упражнения

242

§16. Системы неравенств с одним неизвестным. Числовые промежутки..96

Упражнения

243

§16. Системы неравенств с одним неизвестным. Числовые промежутки..97

Упражнения

244

§16. Системы неравенств с одним неизвестным. Числовые промежутки..98

Упражнения

245

§16. Системы неравенств с одним неизвестным. Числовые промежутки..99

Упражнения

246

§16. Системы неравенств с одним неизвестным. Числовые промежутки..100

Упражнения

247

§16. Системы неравенств с одним неизвестным. Числовые промежутки..101

Упражнения

248

§16. Системы неравенств с одним неизвестным. Числовые промежутки..102

Упражнения

249

§16. Системы неравенств с одним неизвестным. Числовые промежутки..103

Упражнения

250

§16. Системы неравенств с одним неизвестным. Числовые промежутки..104

Упражнения

251

§16. Системы неравенств с одним неизвестным. Числовые промежутки..105

Упражнения

252

§16. Системы неравенств с одним неизвестным. Числовые промежутки..106

Упражнения

253

§16. Системы неравенств с одним неизвестным. Числовые промежутки..107

Упражнения

254

§16. Системы неравенств с одним неизвестным. Числовые промежутки..108

Упражнения

255

§16. Системы неравенств с одним неизвестным. Числовые промежутки..109

Упражнения

256

§16. Системы неравенств с одним неизвестным. Числовые промежутки..110

Упражнения

257

§16. Системы неравенств с одним неизвестным. Числовые промежутки..111

Упражнения

258

§16. Системы неравенств с одним неизвестным. Числовые промежутки..112

Упражнения

259

§16. Системы неравенств с одним неизвестным. Числовые промежутки..113

Упражнения

260

§16. Системы неравенств с одним неизвестным. Числовые промежутки..114

Упражнения

261

§16. Системы неравенств с одним неизвестным. Числовые промежутки..115

Упражнения

262

§16. Системы неравенств с одним неизвестным. Числовые промежутки..116

Упражнения

263

§16. Системы неравенств с одним неизвестным. Числовые промежутки..117

Упражнения

264

§16. Системы неравенств с одним неизвестным. Числовые промежутки..118

Упражнения

265

§17. Модуль числа. Уравнения и неравенства, содержащие модуль

Упражнения

267 268 269 270 271 272 273 274 275 276 277 278 279

§18. Приближенные вычисления, приближенные значения величин. Погрешность приближения §19. Оценка погрешностей, 

Упражнения

282 283 284 285 286 287

§20. Округление чисел

Упражнения

288 289 290 291 292 293 294 295 296 297 298 299 300 301 302 303 304

§21. Относительная погрешность

Упражнения

305 306 307 308 309 310 311

Упражнения к главе II.

Упражнения

312 313 314 315 316 317 318 319 320 321 322 323 324 325 327 328 329

Проверь себя

Проверь себя

1 2 3

Тестовые задания к главе II

Тесты

1 2 3 4 5 6 7 8 9 10 11 12 13 14 15 16 17 18 19 20 21 22 23 24 25

ГЛАВА III КВАДРАТНЫЕ УРАВНЕНИЯ

§22. Квадратные уравнения и их корни

Упражнения

345 346 347 350 352

§23. Неполные квадратные уравнения и их решение

Упражнения

353 354 355 356 357 358

§24. Формулы нахождения корней квадратного уравнения.

Упражнения

359 360 361 362 363 364 365 367 368 369 370 371 372 373 374 375 376

§25. Теорема Виета. Разложение квадратного трехчлена на линейные множители

Упражнения

381 382 383 384 385 386 387 388

§26. Биквадратные уравнения. Уравнения, сводящиеся к квадратным.

Упражнения

389 390 391 392 393 394 395 396 397 398 399 400 401

§27. Решение задач с помощью квадратных уравнений

Упражнения

402 403 404 405 406 407 408 409 410 411 412

Упражнения к главе III

Упражнения

413 414 415 416 417 418 419 420 421 422 423 424 425 426 427 428 429 430 431 432

Проверь себя

Проверь себя

1 2 3

Тестовые задания к главе III

Тесты

1 2 3 4 5 6 7 8 9 10 11 12 13 14

Исторические задачи

Задания

1 2 3 4 5 6 7 8 9 10 11 12 13 14 15 16 17 18 19 20 21 22 23 24 25 26 27 28 29 30 31

Практические и межпредметные задачи

Упражнения

433 439 440 441 442 444 445 452 453 455 456 457 458 459 460 461 462 463 464 465 466

ГЛАВА IV АНАЛИЗ ДАННЫХ

§28. Анализ данных. Представление данных

Упражнения

467 468 469 470 471 472

§29. Среднее значение. Мода. Медиана

Упражнения

475 476 477 478 479 480 481

§30. Решение комбинаторных задач методом перебора

Упражнения

482 483 484 485 486 487 488 489 490 491

§31. Основной закон комбинаторики и его применение при решении задач

Упражнения

492 493 494 495 496 497 498 499 500 501 503 504 505 506 507 508 509 510 511 512 513 514 515

Упражнения к главе IV

Упражнения

516 517 518 519 520 521 522 523 524 525 527 528 529 530

Тестовые задания к главе IV

Тесты

1 2 3 4 5 6 7 8 9 10 11 12 13 14

Практические и межпредметные задачи

Упражнения

531 532 535 537 538 540 541 542 543

Упражнения для повторения курса „Алгебры“ 8 класса

Упражнения

544 545 546 547 548 549 550 551 552 553 556 557 558 559 560 561 562 563 564 565 566 567 568 569 570 571 572 573 574 575 576 577 578 579 580 581 582 583 584 585 586 587 588 589 590 591 592