ГДЗ Геометрия Смирнов 8 класс 2018 Упражнение 14.2
Предмет: Геометрия
Издательство: Мектеп
Язык: Русский
Год: 2018
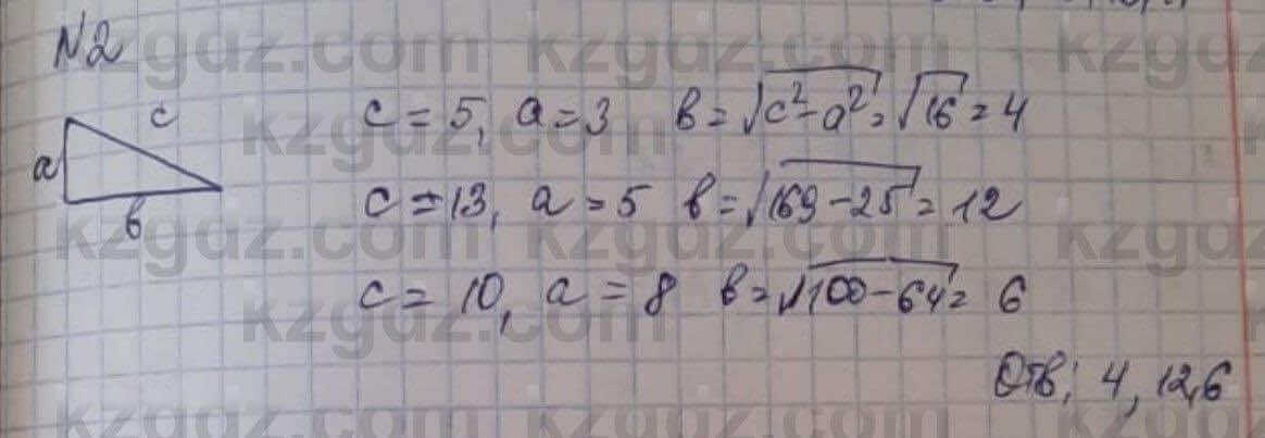
Соотношения между сторонами и углами прямоугольного треугольника, 14. Теорема пифагора, Упражнение, 14.2
Предмет: Геометрия
Издательство: Мектеп
Язык: Русский
Год: 2018