ГДЗ Геометрия Смирнов 8 класс 2018 Упражнение 16.19

Предмет: Геометрия

Издательство: Мектеп

Язык: Русский

Год: 2018

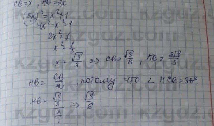
Соотношения между сторонами и углами прямоугольного треугольника, 16. Решение прямоугольных треугольников, Упражнение, 16.19

Геометрия Смирнов 8 класс 2018 Упражнение 16.191 Геометрия Смирнов 8 класс 2018 Упражнение 16.191 Геометрия Смирнов 8 класс 2018 Упражнение 16.191

Повторение курса геометрии 7 класса

Глава 1. Начальные геометрические сведения

Повторение

1 2 3 4 5 6 7 8 9 10 11 12 13 14 15 16 17 18 19 20 21 22 23 24

Глава 2. Треугольники

Повторение

1 2 3 4 5 6 7 8 9 10 11 12 13 14 15 16 17 18

Глава 3. Взаимное расположение прямых

Повторение

1 2 3 4 5 6 7 8 9 10 11 12 13 14 15 16 17 18 19

Глава 4. Окружность. Геометрические построения

Повторение

1 2 3 4 5 6 7 8 9 10 11 12 13 14 15 16 17 18 19

Многоугольники. Исследование четырехугольников

1. Ломанные

Упражнения

1.1 1.2 1.3 1.4 1.5 1.6 1.7 1.8 1.9 1.1 1.11 1.12

2. Многоугольник

Упражнения

2.1 2.2 2.3 2.4 2.5 2.6 2.7 2.8 2.9 2.1 2.11 2.12 2.13 2.14

3. Сумма углов выпуклого многоугольника

Упражнения

3.1 3.2 3.3 3.4 3.5 3.6 3.7 3.8 3.9 3.1 3.11 3.12 3.13

4. Параллелограмм

Упражнения

4.1 4.2 4.3 4.4 4.5 4.6 4.7 4.8 4.9 4.1 4.11 4.12 4.13 4.14 4.15 4.16 4.17 4.18 4.2 4.21

5. Признаки параллелограмма

Упражнения

5.1 5.2 5.3 5.4 5.5 5.6 5.7 5.8 5.9 5.1 5.11 5.12 5.13 5.14

6. Прямоугольник

Упражнения

6.1 6.2 6.3 6.4 6.5 6.6 6.7 6.8 6.9 6.1 6.11 6.12 6.13 6.14 6.15 6.16 6.17 6.18

7. Ромб, квадрат

Упражнения

7.1 7.2 7.3 7.4 7.5 7.6 7.7 7.8 7.9 7.1 7.11 7.12 7.13 7.14 7.15 7.16 7.17 7.18 7.19 7.2 7.21 7.22

8. Средняя линия треугольника

Упражнения

8.1 8.2 8.3 8.4 8.5 8.6 8.7 8.8 8.9 8.1 8.11 8.12 8.13 8.14 8.15 8.16 8.17 8.18 8.19

9. Трапеция

Упражнения

9.1 9.2 9.3 9.4 9.5 9.6 9.7 9.8 9.9 9.1 9.11 9.12 9.13 9.14 9.15 9.16 9.17

10. Средняя линия трапеции

Упражнения

10.1 10.2 10.3 10.4 10.5 10.6 10.7 10.8 10.9 10.1 10.11 10.12 10.13 10.14 10.15 10.16 10.17 10.18 10.19 10.2 10.21

11. Теорема Фалеса. Пропорциональные отрезки

Упражнения

11.1 11.2 11.3 11.4 11.5 11.6 11.7 11.8 11.9 11.1 11.11 11.12 11.13 11.14 11.15 11.16 11.18 11.19

12. Замечательные точки треугольника

Упражнения

12.1 12.2 12.3 12.4 12.5 12.6 12.7 12.8 12.9 12.1 12.11 12.12 12.13 12.14 12.15

Проверь себя

Проверь себя

1 2 3 4 5 6 7 8 9 10 11 12 13 14 15 16 17 18 19 20

Соотношения между сторонами и углами прямоугольного треугольника

13. Тригонометрические функции острого угла

Упражнения

13.1 13.2 13.3 13.4 13.5 13.6 13.7 13.8 13.9 13.1 13.11 13.12 13.13 13.14 13.15 13.16 13.17 13.18 13.19 13.2 13.21 13.22 13.23 13.24 13.25 13.26 13.27 13.28 13.29 13.3 13.31 13.32 13.34 13.35 13.36 13.37

14. Теорема пифагора

Упражнения

14.1 14.2 14.3 14.4 14.5 14.6 14.7 14.8 14.9 14.1 14.11 14.12 14.13 14.14 14.15 14.16 14.17 14.18 14.19 14.2 14.21 14.22 14.23 14.24 14.25 14.26 14.27 14.28 14.29 14.3 14.31 14.32 14.33 14.34 14.35 14.36 14.37 14.38 14.39

15. Тригонометрические тождества

Упражнения

15.1 15.2 15.3 15.4 15.5 15.6 15.7 15.8 15.9 15.1 15.11 15.12 15.13 15.14 15.15 15.16 15.17 15.18 15.19

16. Решение прямоугольных треугольников

Упражнения

16.1 16.2 16.3 16.4 16.5 16.6 16.7 16.8 16.9 16.1 16.11 16.12 16.13 16.14 16.15 16.16 16.17 16.18 16.19 16.2 16.21 16.22 16.23 16.24 16.25 16.26 16.27 16.28 16.29 16.3 16.31 16.32 16.33 16.34 16.35 16.36 16.37 16.38 16.39 16.4 16.41

17. Тригонометрические функции прямого и тупого углов

Упражнения

17.1 17.2 17.3 17.4 17.5 17.6 17.7 17.8 17.9 17.1 17.11 17.12 17.13 17.14 17.15 17.16 17.17 17.18 17.19

18 Практические задачи на нахождение расстояний и углов

Упражнения

18.1 18.2 18.3 18.4 18.5 18.6 18.7 18.8 18.9 18.1 18.11 18.12

Проверь себя

Проверь себя

1 2 3 4 5 6 7 8 9 10 11 12 13 14 15 16 17 18 19 20

Площади

19. Понятие Площади. Площадь Прямоугольника

Упражнения

19.1 19.2 19.3 19.4 19.5 19.6 19.7 19.8 19.9 19.1 19.11 19.12 19.13 19.14 19.15 19.16 19.17 19.18 19.19 19.2 19.21 19.22 19.23 19.24 19.25

20. Площадь параллелограмма

Упражнения

20.1 20.2 20.3 20.4 20.5 20.6 20.7 20.8 20.9 20.1 20.11 20.12 20.13 20.14 20.15 20.16

21. Площадь треугольника

Упражнения

21.1 21.2 21.3 21.4 21.5 21.6 21.7 21.8 21.9 21.1 21.11 21.12 21.13 21.14 21.15 21.16 21.17 21.18 21.2 21.21 21.22 21.23 21.25 21.26 21.27 21.28

22. Площадь трапеции

Упражнения

22.1 22.2 22.3 22.4 22.5 22.6 22.7 22.8 22.9 22.1 22.11 22.12 22.13 22.14 22.15 22.16 22.17 22.18 22.19

23. Площадь многоугольника

Упражнения

23.2 23.3 23.4 23.5 23.6 23.7 23.8 23.9 23.1

24. Равновеликость и равносоставленноть

Упражнения

24.1 24.2 24.3 24.4 24.5 24.6 24.7 24.8 24.9 24.1 24.11 24.12 24.13 24.14 24.15 24.16 24.17 24.18 24.19 24.2 24.21 24.22 24.24

Проверь себя

Проверь себя

1 2 3 4 5 6 7 8 9 10 11 12 13 14 15 16 17 18 19 20

Прямоугольная система координат на плоскости

25. Координаты точки

Упражнения

25.1 25.2 25.3 25.4 25.5 25.6 25.7 25.8 25.1 25.11 25.12 25.13 25.15

26. Расстояние между двумя точками. Уравнение окружности

Упражнения

26.1 26.2 26.3 26.4 26.5 26.6 26.7 26.8 26.9 26.1 26.11 26.12 26.13 26.14 26.15 26.16 26.17 26.18 26.2

27. Уравнение прямой

Упражнения

27.1 27.2 27.3 27.4 27.5 27.6 27.7 27.8 27.9 27.1 27.11 27.12 27.13 27.14 27.15 27.16 27.17

28. Аналитическое задание фигур на плоскости

Упражнения

28.1 28.2 28.3 28.4 28.5 28.6 28.7 28.8 28.9 28.1 28.11 28.12 28.13 28.14 28.15

Проверь себя

Проверь себя

1 2 3 4 5 6 7 8 9 10 11 12 13 14 15 16 17 18 19 20

Повторение курса геометрии 8 класса

Итоговое повторение

1 2 3 4 5 6 7 8 9 10 11 12 13 14 15 16 17 18 19 20 21 22 23 24 25 26 27 28 29 30 31 32 33 34 35 36 37 38 39 40 41 42 43 44 45 46 47 48 49 50 51 52 53 54 55 56 57 58 59 60 61 62 63 64 65 66 67 68 69 70 71 72 73 74 75 76 77 78 79 80 81 82 83 84 85 86 87 88 89 90 91 92 93 94 95 96 97 98 99 100 101 102 103 104 105 106 107 108 109 110 111 112 113 114