ГДЗ Алгебра Алимов 9 класс 2019 Упражнение 311

Предмет: Алгебра

Издательство: O'QITUVCHF

Язык: Русский

Год: 2019

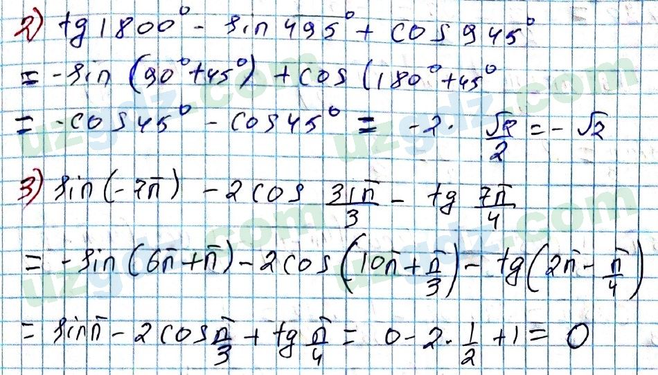
Глава III. ЭЛЕМЕНТЫ ТРИГОНОМЕТРИИ, §26. Формулы приведения, Упражнение, 311

Алгебра Алимов 9 класс 2019 Упражнение 3111 Алгебра Алимов 9 класс 2019 Упражнение 3111 Алгебра Алимов 9 класс 2019 Упражнение 3111

Повторение тем, изученных в восьмом классе

Повторение

1 2 3 4 5 6 7 9 10 11 12 13 14 15 16 17 18 19

Глава I. КВАДРАТИЧНАЯ ФУНКЦИЯ. КВАДРАТНЫЕ НЕРАВЕНСТВА

§ 1. Определение квадратичной функции

Упражнения

2 3 4 5 6 7

§2. Функция у = х^2

Упражнения

8 9 12 13 14 15 16

§3. Функция у = ах^2

Упражнения

17 19 20 21 22 23

§4. Функция у = ах^2 + Ьх + с

Упражнения

25 26 27 28 29 30 32 33 34

§5. Построение графика квадратичной функции

Упражнения

35 36 37 38 39 40 41 42 43 44 45 46

§6. Квадратное неравенство и его решение

Упражнения

48 50 51 52 53 54 55

§7. Решение квадратного неравенства с помощью графика квадратичной функции

Упражнения

56 58 59 60 61 62 64 65 66 67 68 69

§8. Метод интервалов

Упражнения

71 72 73 74 75 76 77 78 79 80

§9. Область определения функции

Упражнения

81 82 84 85 86 87 88 89

§10. Возрастание и убывание функции

Упражнения

90 92 93 94 95 97

§11. Четность и нечетность функции

Упражнения

98 99 100 101 102 103 104 105 106 107 108 109

§12. Неравенства и уравнения, содержащие степень

Упражнения

110 111 114 115 116 117 118 119 120 121 122 123 124

Упражнения к главе I

Упражнения

125 126 127 128 129 130 131 132 133 134 135 136 137 138 139 140 141 142 143 144 145 146 147 148

Проверь себя

Проверь себя

1 2 3 4 5 6

Упражнения к главе I

Упражнения

149 150 151 152

Тестовые задания к главе 1

Тесты

1 2 3 4 5 6 7 8 9 10 11 12 13 14 15 16 17 18 19 20 21

Практические и межпредметные задачи

Задачи

1 2 3 4 5

Глава II. СИСТЕМЫ УРАВНЕНИЙ И НЕРАВЕНСТВ

§13. Решение простейших систем, содержащих уравнения второй степени

Упражнения

153 154 155 156 157 158 159 160 161 162 163 164

§14. Различные способы решения систем уравнений

Упражнения

165 166 167 168 169 170 171 172 173 174 175

§15. Система неравенств второй степени с одним неизвестным

Упражнения

176 177 178 179 180 181 182

§16. Доказательство простейших неравенств

Упражнения

183 184 185 186 187 188 189 190 191 192

Упражнения к главе II

Упражнения

193 194 195 196 197 198 199 200 201 202 203 204 205 206 207 208 209 210 211 212

Тестовые задания к главе II

Тесты

1 2 3 4 5 6 7 8 9 10 11 12

Практические и межпредметные задачи

Задачи

1 2 3 4 5 6

Глава III. ЭЛЕМЕНТЫ ТРИГОНОМЕТРИИ

§17. Радианная мера угла

Упражнения

213 214 215 216 217 218 219 220 221

§18. Поворот точки вокруг начала координат

Упражнения

222 223 224 225 226 227 228 229 230 231

§19. Определение синуса, косинуса, тангенса и котангенса угла

Упражнения

232 233 234 235 236 237 238 239 240 241

§20. Знаки синуса, косинуса и тангенса

Упражнения

242 243 244 245 246 247 248 249 250 251 252 253 254

§21. Зависимость между синусом, косинусом и тангенсом одного и того же угла

Упражнения

255 256 257 258 259 261 262 263 264

§22. Тригонометрические тождества

Упражнения

265 266 267 268 269 270 271 272 273 274

§23. Синус, косинус, тангенс и котангенс углов а и -а

Упражнения

275 276 277 278 279

§24. Формулы сложения

Упражнения

280 281 282 283 284 285 286 287 288 289 290 291 292

§25. Синус и косинус двойного угла

Упражнения

293 294 295 296 297 298 299 300 301 302 303 304 305 306

§26. Формулы приведения

Упражнения

307 308 309 310 311 312 313 314 315 316 317

§27. Сумма и разность синусов. Сумма и разность косинусов

Упражнения

318 319 320 321 322 323 324 325 326 327

Упражнения к главе III

Упражнения

328 329 330 331 332 334 335 336 337 338 339 340 341 342 343 344 345 346 347 348

Тестовые задания к главе III

Тесты

1 2 3 4 5 6 7 8 9 10 11 12 13 14 15 16 17 18 19 20 21 22 23 24

Глава IV. ЧИСЛОВЫЕ ПОСЛЕДОВАТЕЛЬНОСТИ. ПРОГРЕССИИ

§28. Числовые последовательности

Упражнения

349 350 352 353 354 355 356 357 358

§29. Арифметическая прогрессия

Упражнения

360 361 362 363 364 365 366 367 368 369 370 371 372 373

§30. Сумма n первых членов арифметической прогрессии

Упражнения

374 375 376 377 378 379 380 381 382 383 384 385 386 387 388

§31. Геометрическая прогрессия

Упражнения

390 391 392 393 394 395 396 397 398 399 400

§32. Сумма п первых членов геометрической прогрессии

Упражнения

401 402 403 404 405 406 407 408 409 410 411

§33. Бесконечно убывающая геометрическая прогрессия

Упражнения

412 413 414 415 416 417 418 419 420 421 422

Упражнения к главе IV

Упражнения

423 424 425 426 427 428 429 430 431 432 433 434 435 436 437 438

Проверь себя

Проверь себя

1 2 3

Упражнения к главе IV

Упражнения

439 440 441 442 443 444 445 446 447 448 449 450 451

Тестовые задания к главе IV

Тесты

1 2 3 4 5 6 7 8 9 10 11 12 13 14 15 16 17 18 19

Практические и межпредметные задачи

Задачи

1 2 3 4 5 6 7

Глава V. ТЕОРИЯ ВЕРОЯТНОСТЕЙ И МАТЕМАТИЧЕСКАЯ СТАТИСТИКА

§34. События

Упражнения

457 458 459 460 461 462 463 464

§35. Вероятность события

Упражнения

465 466 467 468 469 470 471 472 473 474

§36. Относительная частота случайного события

Упражнения

475 476 477 478

§37. Случайные величины

Упражнения

479 480 481 482 483 484 485 486 487

§38. Числовые характеристики случайных величин

Упражнения

489 490 491 492 493 494 495 496 497 498 499

Упражнения к главе V

Упражнения

501 502 503 504 505 506 507 508 509 510 511

Тестовые задания к главе V

Тесты

1 2 3 4 5 6 7 8 9

Упражнения для повторения курса «Алгебры» 9 класса

Итоговое повторение

512 514 515 516 517 518 519 520 521 522 523 524 525 526 527 528 529 530 532 533 534 535 536 537 538 539 540 541 542 544 545 546 547 548 549 550 551 552 553 554 555 556 557 558 559 560 561 562 563 564 565 566 567 568 569