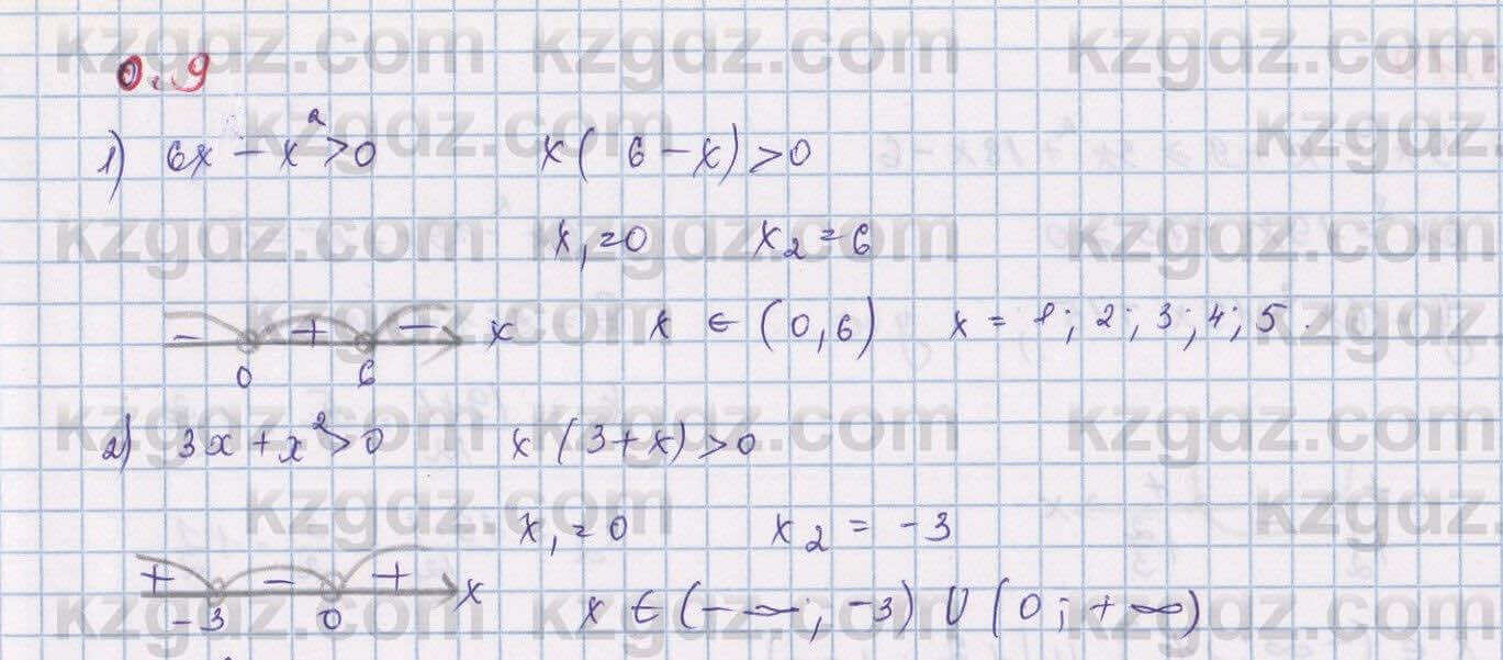
ГДЗ Алгебра Шыныбеков 9 класс 2019 Упражнение 0.9

Предмет: Алгебра

Издательство: Атамура

Язык: Казахский

Год: 2019

Раздел 0., Повторение материала пройденного в 8 классе, Упражнение, 0.9

Алгебра Шыныбеков 9 класс 2019 Упражнение 0.91 Алгебра Шыныбеков 9 класс 2019 Упражнение 0.91

Раздел 0.

Повторение материала пройденного в 8 классе

Упражнения

0.1 0.2 0.3 0.4 0.5 0.6 0.7 0.8 0.9 0.1 0.11 0.12 0.13 0.14 0.15 0.16 0.17 0.18 0.19 0.2 0.21 0.22 0.23 0.24 0.25 0.26 0.27 0.28 0.29 0.3 0.31 0.32 0.33 0.34 0.35 0.36 0.37 0.38 0.39 0.4 0.41 0.42 0.43 0.44 0.45 0.46 0.47 0.48 0.49 0.5 0.51 0.52 0.53 0.54 0.55 0.56 0.57 0.58 0.59

Раздел 1. Уравнения, неравенства с двумя переменными и их системы

1.1. Уравнения с двумя переменными и их геометрический смысл

Упражнения

1.1 1.2 1.3 1.4 1.5 1.6 1.7 1.8 1.9 1.1 1.11 1.12 1.13 1.14 1.15 1.16 1.17 1.18 1.19 1.2 1.21 1.22

1.2. Решение систем нелинейных уравнений с двумя переменными

Упражнения

1.23 1.24 1.25 1.26 1.27 1.28 1.29 1.3 1.31 1.32 1.33 1.34 1.35 1.36 1.37 1.38 1.39 1.4 1.41 1.42

1.3. Решение текстовых задач с помощью систем уравнений

Упражнения

1.43 1.44 1.45 1.46 1.47 1.48 1.49 1.5 1.51 1.52 1.53 1.54 1.55 1.56 1.57 1.58 1.59 1.6 1.61 1.62 1.63 1.64 1.65 1.66

1.4. Неравенства с двумя переменными

Упражнения

1.67 1.68 1.69 1.7 1.71 1.72 1.73 1.74 1.75 1.76 1.77 1.78 1.79 1.8 1.81 1.82 1.83 1.84

Раздел 2. Элементы комбинаторики

Упражнения

2.1 2.2 2.3 2.4 2.5 2.6 2.7 2.8 2.9 2.1 2.11 2.12 2.13 2.14 2.15 2.16 2.17 2.18 2.19 2.2 2.21 2.22 2.23 2.24 2.25 2.26 2.27 2.28 2.29 2.3 2.31 2.32 2.33 2.34 2.35 2.36 2.37 2.38 2.39 2.4 2.41 2.42 2.43 2.44 2.45 2.46 2.47 2.48 2.49 2.5

Раздел 3. Последовательности

3.1. Понятие числовой последовательности

Упражнения

3.1 3.2 3.3 3.4 3.5 3.6 3.7 3.8 3.9 3.1 3.11 3.12 3.13 3.14 3.15 3.16 3.17 3.18 3.19 3.2

3.2. Метод математической индукции

Упражнения

3.21 3.22 3.23 3.24 3.25 3.26 3.27 3.28 3.29 3.3 3.31

3.3. Арифметическая прогрессия

Упражнения

3.32 3.33 3.34 3.35 3.36 3.37 3.38 3.39 3.4 3.41 3.42 3.43 3.44 3.45 3.46 3.47 3.48 3.49 3.5 3.51 3.52 3.53 3.54 3.55

3.4. Геометрическая прогрессия

Упражнения

3.56 3.57 3.58 3.59 3.6 3.61 3.62 3.63 3.64 3.65 3.66 3.67 3.69 3.7 3.71 3.72 3.73 3.74 3.75 3.76

3.5. Формулы суммы первых n членов афирметической и геометрической прогрессий

Упражнения

3.77 3.78 3.79 3.8 3.81 3.82 3.83 3.84 3.85 3.86 3.87 3.88 3.89 3.9 3.91 3.92 3.93 3.94 3.95 3.96 3.97 3.98 3.99 3.1 3.101 3.102 3.103 3.104 3.105

3.6. Бесконечно убывающая геометрическая прогрессия

Упражнения

3.106 3.107 3.108 3.109 3.11 3.111 3.112 3.113 3.114 3.115 3.116 3.117 3.118 3.119 3.12 3.121 3.122 3.123 3.124 3.125 3.126 3.127 3.128 3.129 3.13 3.131 3.132 3.133 3.134 3.135 3.136 3.137 3.138 3.139 3.14 3.141 3.142 3.143 3.144 3.145 3.146 3.147 3.148 3.149 3.15 3.151

Раздел 4. Тригонометрия

4.1. Градусная и радианная меры угла и дуги

Упражнения

4.1 4.2 4.3 4.4 4.5 4.6 4.7 4.8 4.9 4.1 4.11 4.12 4.13 4.14 4.15 4.16 4.17 4.18 4.19

4.2. Определение тригонометрических функций

Упражнения

4.2 4.21 4.22 4.23 4.24 4.25 4.26 4.27 4.28 4.29 4.3 4.31 4.32 4.33 4.34 4.35 4.36 4.37

4.3. Свойства тригонометрических функций

Упражнения

4.38 4.39 4.4 4.41 4.42 4.43 4.44 4.45 4.46 4.47 4.48 4.49 4.5 4.51 4.52 4.53 4.54 4.55 4.56 4.57 4.58 4.59 4.6

4.4. Формулы приведения

Упражнения

4.61 4.62 4.63 4.64 4.65 4.66 4.67 4.68 4.69 4.7 4.71 4.72 4.73 4.74 4.75 4.76 4.77

4.5. Тригонометрические формулы

Упражнения

4.78 4.79 4.8 4.81 4.82 4.83 4.84 4.85 4.86 4.87 4.88 4.89 4.9 4.91 4.92 4.93 4.94 4.95 4.96 4.97 4.98 4.99 4.1 4.101 4.102 4.103 4.104 4.105 4.106 4.107 4.108 4.109 4.11 4.111 4.112 4.113 4.114 4.115 4.116 4.117 4.118 4.119 4.12 4.121 4.122 4.123 4.124 4.125 4.126 4.127 4.128 4.129 4.13 4.131 4.132 4.133 4.134 4.135 4.136 4.137 4.138 4.139 4.14 4.141 4.142 4.143 4.144 4.145 4.146 4.147 4.148 4.149 4.15 4.151 4.152 4.153 4.154 4.155 4.156 4.157 4.158 4.159 4.16 4.161 4.162 4.163 4.164 4.165 4.166 4.167 4.168 4.169 4.17 4.172 4.173

Раздел 5. Элементы теории вероятностей

5.1. Основы теории вероятностей

Упражнения

5.1 5.2 5.3 5.4 5.5 5.6 5.7 5.8 5.9 5.1 5.11 5.12 5.13 5.14 5.15 5.16 5.17 5.18 5.19 5.2 5.21 5.22 5.23 5.24 5.25 5.26 5.27 5.28 5.29 5.3 5.31 5.32 5.33 5.34 5.35 5.36 5.37 5.38 5.39 5.4 5.41 5.42 5.43 5.44 5.45 5.46 5.47 5.48 5.49 5.5 5.51 5.52 5.53 5.54 5.55 5.56 5.57 5.58 5.59 5.6 5.61 5.62 5.63 5.64 5.65 5.66 5.67 5.68 5.69 5.7 5.71 5.72 5.73 5.74 5.75 5.76 5.77 5.78 5.79 5.8 5.81

5.2. Геометрическая вероятность

Упражнения

5.82 5.83 5.84 5.85 5.86 5.87 5.88 5.89 5.9 5.91 5.92 5.93 5.94 5.95 5.96 5.97 5.98 5.99 5.1 5.101 5.102 5.103 5.104 5.105 5.106 5.107 5.108 5.109 5.11 5.111 5.112 5.113 5.114 5.115 5.116 5.117 5.118 5.119 5.12 5.121

Раздел 6.

6. Упражнения для повторения курса алгебры 7-9 классы

Упражнения

6.1 6.2 6.3 6.4 6.5 6.6 6.7 6.8 6.9 6.1 6.11 6.12 6.13 6.14 6.15 6.16 6.17 6.18 6.19 6.2 6.21 6.22 6.23 6.24 6.25 6.26 6.27 6.28 6.29 6.3 6.31 6.32 6.33 6.34 6.35 6.36 6.37 6.38 6.39 6.4 6.41 6.42 6.43 6.44 6.45 6.46 6.47 6.48 6.49 6.5 6.51 6.52 6.53 6.54 6.55 6.56 6.57 6.58 6.59 6.6 6.61 6.62 6.63 6.64 6.65 6.66 6.67 6.68 6.69 6.7 6.71 6.72 6.73 6.74 6.75 6.76 6.77 6.78 6.79 6.8 6.81 6.82 6.83 6.84 6.85 6.86