ГДЗ Физика Башарулы 9 класс 2019 Упражнение 3

Предмет: Физика

Издательство: Мектеп

Язык: Казахский

Год: 2019

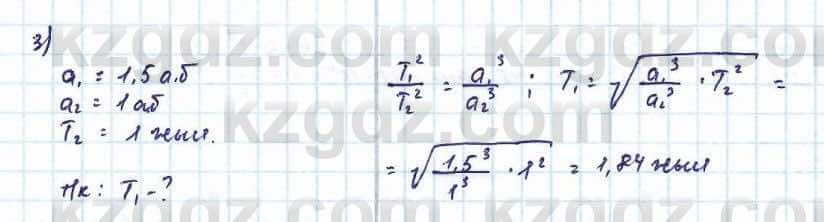
Глава II. Основы астрономии, §12. Законы движения планет Солнечной системы, Упражнение, 3

Физика Башарулы 9 класс 2019 Упражнение 31

Глава I. Основы кинематики

§ 2. Векторы и действия над ними, проекция вектора на координатные оси

Упражнения

1 2 3 4

§ 4. Скорость и перемещение при прямолинейном равноускоренном движении

Упражнения

1 2 3 4 5 6 7 8

§ 5. Свободное падение тел, ускорение свободного падения

Упражнения

1 2 3 4 5 6

§ 7. Линейные и угловые скорости.

Упражнения

1 2 3 4 5 6 7 8 9 10 11 12

Глава II. Основы астрономии

§8. звездное небо. Небесная сфера

Упражнения

1 2

§9. системы небесных координат

Упражнения

1 2 3

§11. Местное, поясное и всемирное время

Упражнения

1 2 3

§12. Законы движения планет Солнечной системы

Упражнения

1 2 3

§13. Определение расстояний в астрономии методом параллакса

Упражнения

1 2 3 4 5 6 7

Глава III. Основы динамики

§14. Первый закон Ньютона. Инерционные системы отсчета

Упражнения

1 2 3 4 5

§16. Второй закон Ньютона. Масса

Упражнения

1 2 3 4 5

§17. Третий закон Ньютона

Упражнения

1 2 3 4 5 6 7

§18. Закон Всемирного тяготения

Упражнения

1 2 3 4 5

§19. Масса тела. Невесомость

Упражнения

1 2 3 4

$20. Движение тел под действием силы тяжести

Упражнения

1 2 3

§21. Движение искусственных спутников Земли

Упражнения

1 2 3 4 5

Глава IV. Законы сохранения

§23. закон сохранения импульса

Упражнения

1 2 3 4 5

§24. Реактивное движение

Упражнения

1 2 3 4 5

§25. Механическая работа и энергия

Упражнения

1 2 3 4 5

§26. Закон сохранения и превращения энергии

Упражнения

1 2 3 4 5 6 7

Глава V. Колебания и волны

§27. колебательное движение

Упражнения

1 2 3 4 5 6

§28. уравнение колебательного движения

Упражнения

1 2 3 4 5 6

§29. Преобразование энергии при колебаниях

Упражнения

1 2 3 4 5

§30. Колебания математического и пружинного маятников

Упражнения

1 2 3 4 5

§31. Свободные и непроизвольные колебания. Резонанс

Упражнения

1 2 3

§32. Свободные электромагнитные колебания …

Упражнения

1 2 3 4 5

§33. Волновое движение

Упражнения

1 2 3

§34. звук и его характеристики

Упражнения

1 2 3 4 5

§35. Акустический резонанс. Эхо

Упражнения

1 2 3 4 5

§36. Электромагнитные волны

Упражнения

1 2 3

Глава VI. Строение атома. Атомные явления

§38. Тепловое излучение

Упражнения

1 2 3

§39. Гипотеза Планка о квантах света

Упражнения

1 2 3

§40. Явление фотоэффекта

Упражнения

1 2 3 5 6

§41. Рентгеновские лучи

Упражнения

1 2 3 4 5

§43. опыт Резерфорда. Состав атома

Упражнения

1 3 4

ГЛАВА VII. Атомное ядро

§44. Атомное ядро. Ядерное взаимодействие. Ядерные силы…

Упражнения

1 2 3 4 5 6

§45. Дефект массы. Энергия связи атомного ядра

Упражнения

1 2 3 4 5 6

§47. Закон радиоактивного распада

Упражнения

1 2 3 4

§48. Ядерные реакторы

Упражнения

1 2

§49. термоядерные реакции

Упражнения

1 2