ГДЗ Алгебра Абылкасымова 11 ЕМН класс 2020 Упражнение 14.2
Предмет: Алгебра
Издательство: Мектеп
Язык: Казахский
Год: 2020
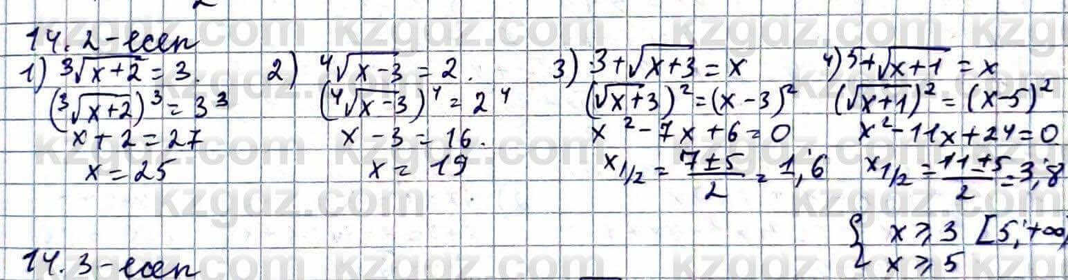
Глава IV. ИРРАЦИОНАЛЬНЫЕ УРАВНЕНИЯ И НЕРАВЕНСТВА, § 14. Иррациональные уравнения и их системы, Упражнение, 14.2

Предмет: Алгебра
Издательство: Мектеп
Язык: Казахский
Год: 2020