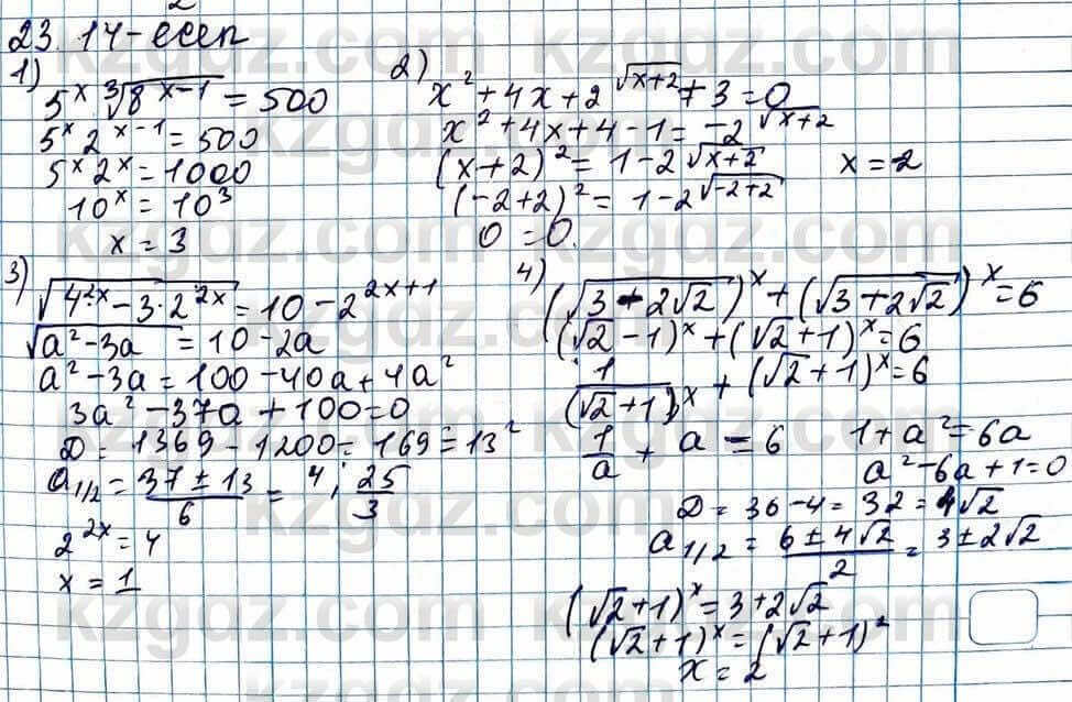
ГДЗ Алгебра Абылкасымова 11 ЕМН класс 2020 Упражнение 23.14
Предмет: Алгебра
Издательство: Мектеп
Язык: Казахский
Год: 2020
Глава VII. ПОКАЗАТЕЛЬНЫЕ И ЛОГАРИФМИЧЕСКИЕ УРАВНЕНИЯ И НЕРАВЕНСТВА, § 23. Показательные уравнения и их системы, Упражнение, 23.14

