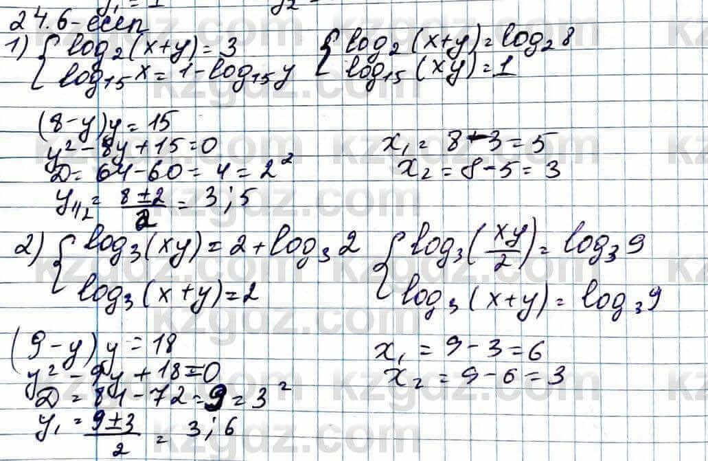
ГДЗ Алгебра Абылкасымова 11 ЕМН класс 2020 Упражнение 24.6
Предмет: Алгебра
Издательство: Мектеп
Язык: Казахский
Год: 2020
Глава VII. ПОКАЗАТЕЛЬНЫЕ И ЛОГАРИФМИЧЕСКИЕ УРАВНЕНИЯ И НЕРАВЕНСТВА, § 24. Логарифмические уравнения и их системы, Упражнение, 24.6
