ГДЗ Алгебра Абылкасымова 11 ЕМН класс 2020 Упражнение 28.8
Предмет: Алгебра
Издательство: Мектеп
Язык: Казахский
Год: 2020
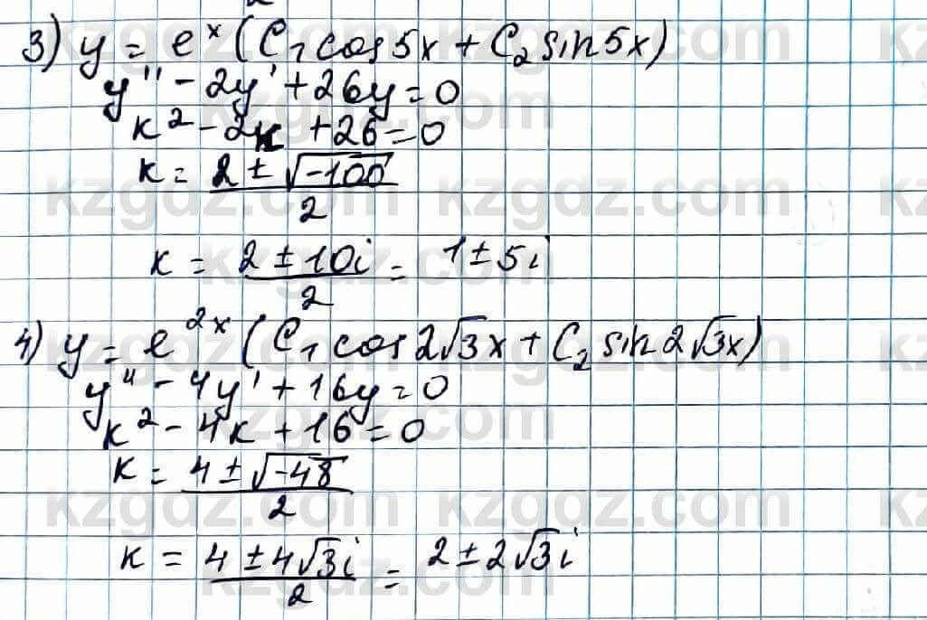
Глава VIII. ДИФФЕРЕНЦИАЛЬНЫЕ УРАВНЕНИЯ, § 28. Линейные однородные дифференциальные уравнения второго порядка с постоянными коэффициентами, Упражнение, 28.8


