ГДЗ Математика Алдамуратова 6 класс 2018 Упражнение 677
Предмет: Математика
Издательство: Атамура
Язык: Казахский
Год: 2018
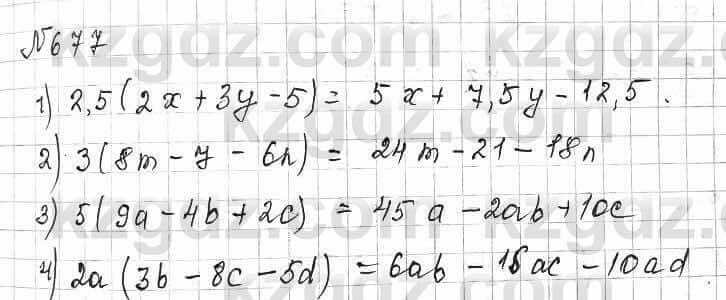
Глава III. Алгебраические выражения, 3.2. Раскрытие скобок. Коэффициент, Упражнение, 677
Предмет: Математика
Издательство: Атамура
Язык: Казахский
Год: 2018