ГДЗ Алгебра Алимов 7 класс 2017 Упражнение 267
Предмет: Алгебра
Издательство: O'QITUVCHF
Язык: Русский
Год: 2017
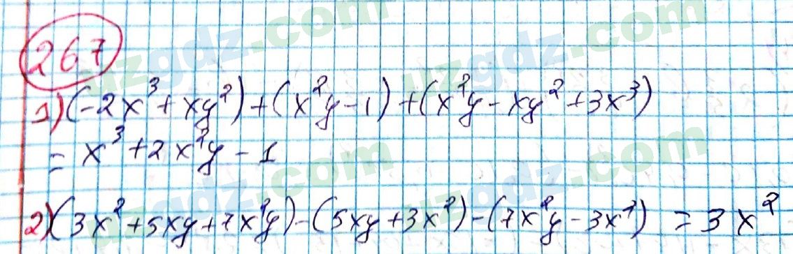
Глава III. ОДНОЧЛЕНЫ И МНОГОЧЛЕНЫ, §15. Сложение и вычитание многочленов, Упражнение, 267


Предмет: Алгебра
Издательство: O'QITUVCHF
Язык: Русский
Год: 2017