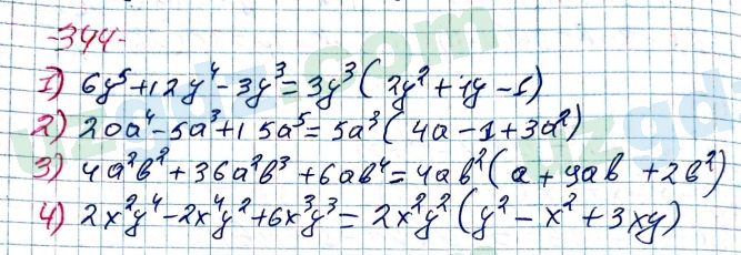
ГДЗ Алгебра Алимов 7 класс 2017 Упражнение 344
Предмет: Алгебра
Издательство: O'QITUVCHF
Язык: Русский
Год: 2017
Глава IV. РАЗЛОЖЕНИЕ МНОГОЧЛЕНА НА МНОЖИТЕЛИ, §19. Вынесение общего множителя за скобки, Упражнение, 344
Предмет: Алгебра
Издательство: O'QITUVCHF
Язык: Русский
Год: 2017