Авторы: Алимов Ш.А., Холмухамедов А.Р., Мирзаахмедов М.А.
Предмет: Алгебра
Издательство: O'QITUVCHF
Язык: Русский
Год: 2017
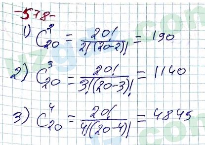
Подробное решение, ответы и гдз Алгебра Алимов 7 класс 2017 O'QITUVCHF Глава VI. ЭЛЕМЕНТЫ КОМБИНАТОРИКИ, § 30. Перестановки. Сочетания, Упражнение 578. Для школьников из Казахстана, Узбекистана и России.