ГДЗ Алгебра Алимов 7 класс 2017 Упражнение 385
Предмет: Алгебра
Издательство: O'QITUVCHF
Язык: Русский
Год: 2017
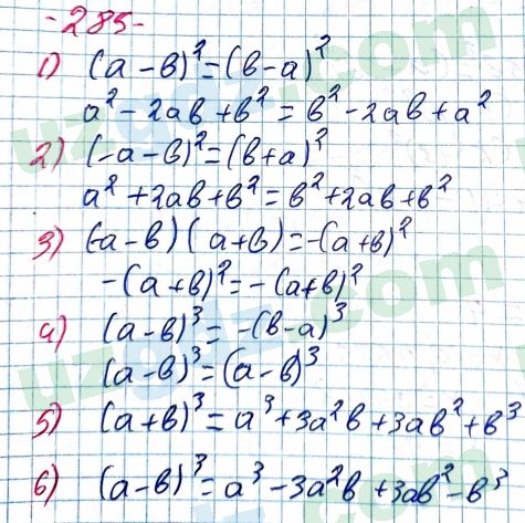
Глава IV. РАЗЛОЖЕНИЕ МНОГОЧЛЕНА НА МНОЖИТЕЛИ, §21. Квадрат суммы. Квадрат разности, Упражнение, 385

Предмет: Алгебра
Издательство: O'QITUVCHF
Язык: Русский
Год: 2017