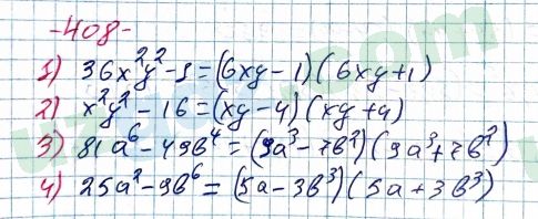
ГДЗ Алгебра Алимов 7 класс 2017 Упражнение 408
Предмет: Алгебра
Издательство: O'QITUVCHF
Язык: Русский
Год: 2017
Глава IV. РАЗЛОЖЕНИЕ МНОГОЧЛЕНА НА МНОЖИТЕЛИ, § 23. Применение нескольких способов разложения многочлена на множители, Упражнение, 408
