ГДЗ Алгебра Алимов 7 класс 2017 Упражнение 481

Предмет: Алгебра

Издательство: O'QITUVCHF

Язык: Русский

Год: 2017

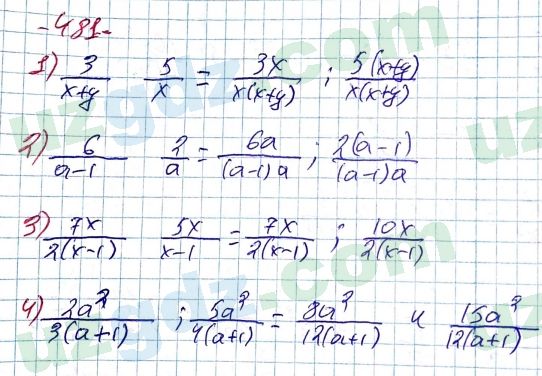
Глава V. АЛГЕБРАИЧЕСКИЕ ДРОБИ, § 25. Приведение дроби к общему знаменателю, Упражнение, 481

Алгебра Алимов 7 класс 2017 Упражнение 4811

Упражнения для повторения курса математики 5—6 классов

Повторение

1 2 3 4 5 6 7 8 9 10 11 12 13 14 15 16 17 18 19 20 21

Глава I. АЛГЕБРАИЧЕСКИЕ ВЫРАЖЕНИЯ

§ 1. Числовые выражения

Упражнения

1 2 3 4 5 6 7 8 9

§ 2. Алгебраические выражения

Упражнения

10 11 12 13 14 16 17 18 19 20 21 22 23 24 25

§ 3. Алгебраические равенства. Формулы

Упражнения

26 27 28 29 30 31 32 33 34 35 36 37 38 39 40 41 42 44 45 46 47 48

§ 4. Свойства арифметических действий

Упражнения

49 50 51 52 53 54

§ 5. Правила раскрытия скобок

Упражнения

56 57 58 59 60 61 62 63 65 66 67 68

Упражнения к главе I

Упражнения

69 70 71 72 73 74 76 77 78

Тестовые задания к главе I

Тесты

1 2 3 4 5 6 7 8 9 10 11 12 13 14

Глава II. УРАВНЕНИЯ С ОДНИМ НЕИЗВЕСТНЫМ

§ 6. Уравнение и его корни

Упражнения

79 80 81 83 84

§ 7. Решение уравнений с одним неизвестным

Упражнения

85 86 87 88 89 90 91 92 93 94 95 96 97 98 99 100

§ 8. Решение задач с помощью уравнений

Упражнения

101 102 103 104 105 106 107 108 109 110 111 112 113

Упражнения к главе II

Упражнения

114 115 116 117 118 119 120

Тестовые задания к главе II

Тесты

1 2 3 4 5 6 7 8 9 10 11 12 13 14

Глава III. ОДНОЧЛЕНЫ И МНОГОЧЛЕНЫ

§ 9. Степень с натуральным показателем

Упражнения

121 122 123 124 125 126 127 128 129 130 132 133 134 135 136 137 138 139 140 141 142

§10. Свойства степени с натуральным показателем

Упражнения

146 147 148 149 150 151 152 153 154 155 157 158 159 160 161 162 163 164 165 166 167 168 169 170 171 172 173 174 175 176 177 178 179 180 181 182 183 184 185 186 187 188 189 190 191 192 193 194 195 196 197 198 199 200 201 202 203 204 205 206 207 208 209 212 213 214 215 216 217 218 219 220 221

§11. Одночлен и его стандартный вид

Упражнения

222 223 224 226 227 228 229

§ 12. Умножение одночленов

Упражнения

230 231 232 233 234 235 236 237 238 239 240 241 242 243 244 245 246

§13. Многочлены

Упражнения

249 250 251 252 253

§ 14. Приведение подобных членов

Упражнения

254 255 256 257 258 259 260 261

§15. Сложение и вычитание многочленов

Упражнения

262 263 264 265 266 267 268 269 270 271 272 273

§16. Умножение многочлена на одночлен

Упражнения

274 275 276 277 278 279 280 281 282

§17. Умножение многочлена на многочлен

Упражнения

283 284 285 286 287 288 290 291

§18. Деление одночлена и многочлена на одночлен

Упражнения

295 296 297 298 299 300 301 302 303 304 305 306 307 308 309 310 311 312

Упражнения к главе III

Упражнения

313 314 315 316 317 318 319 320 321 322 323 324 325 326 327 328 329

Тестовые задания к главе III

Тесты

1 2 3 4 5 6 7 8 9 10 11 12 13 14 15 16 17 18

Глава IV. РАЗЛОЖЕНИЕ МНОГОЧЛЕНА НА МНОЖИТЕЛИ

§19. Вынесение общего множителя за скобки

Упражнения

331 332 333 334 335 336 337 338 339 340 341 342 343 344 345 346 347 348 349 350 351 352 353 354

§ 20. Способ группировки

Упражнения

355 356 357 358 359 360 361 362 363 364

§21. Квадрат суммы. Квадрат разности

Упражнения

365 366 367 368 369 370 372 374 375 376 377 378 379 380 381 382 383 384 385

§ 22. Формула разности квадратов

Упражнения

386 387 388 389 390 391 392 393 394 395 396 397 398 399 400 401

§ 23. Применение нескольких способов разложения многочлена на множители

Упражнения

402 405 406 407 408 409 410 411 412 413 414 415 416 417 418 419 420 421 422 423 424 425 426 427 428 429 430 431 432 433 434 435 436 437 438 439 440 441 442

Упражнения к главе IV

Упражнения

443 444 445 446 447 448 449 450 451

Тестовые задания к главе IV

Тесты

1 2 3 4 5 6 7 8 9

Глава V. АЛГЕБРАИЧЕСКИЕ ДРОБИ

§ 24. Алгебраическая дробь

Упражнения

452 453 454 455 456 457 458 459 460 461 462 463 464 465 466 467 468 469 470 471 472 473 474 475 476

§ 25. Приведение дроби к общему знаменателю

Упражнения

477 478 479 480 481 482 483 484

§ 26. Сложение и вычитание алгебраических дробей

Упражнения

485 486 487 488 489 490 491 492 493 494 495 496 497 498 499 500 501 502 503 504

§ 27. Умножение и деление алгебраических дробей

Упражнения

505 506 507 508 509 510 511 512 513 514 515 516 517

§ 28. Совместные действия над алгебраическими дробями Упражнения к главе V

Упражнения

518 519 520 521 522 523 524 525 526 527 528 529 530 531 532 533

Глава VI. ЭЛЕМЕНТЫ КОМБИНАТОРИКИ

§ 29. Основные правила комбинаторики

Упражнения

534 535 536 537 538 539 540 541 542 543 544 545 546 547 548 549 550 551 552 554 555 556 557 558

§ 30. Перестановки. Сочетания

Упражнения

560 561 562 563 564 565 566 567 568 569 570 571 572 573 574 575 576 577 578 579 580

Упражнения к главе VI

Упражнения

581 582 583 584 585 586 588 589 590 591 592 593 594 595 596

Тестовые задания к главе VI

Тесты

1 2 3 4 5 6 7 8 9 10

Упражнения для повторения курса алгебры 7 класса.

Упражнения

597 598 599 600 601 602 603 604 605 606 607 608 609 610 611 612 613 614 615 616 617 618 619 620 621 622 623 624 625 626 627 628 629 630 631 632 634 635 636 637 638 639 640 641 642 643 644 645 646 647 648 649 650 651 652 653 654 655 656 657 658