ГДЗ Алгебра Алимов 7 класс 2017 Упражнение 520
Предмет: Алгебра
Издательство: O'QITUVCHF
Язык: Русский
Год: 2017
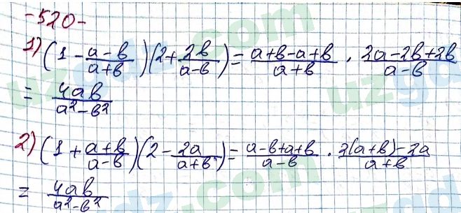
Глава V. АЛГЕБРАИЧЕСКИЕ ДРОБИ, § 28. Совместные действия над алгебраическими дробями Упражнения к главе V, Упражнение, 520


Предмет: Алгебра
Издательство: O'QITUVCHF
Язык: Русский
Год: 2017