Авторы: А. Абылкасымова, З. Жумагулова А. Абдиев, В.Корчевский
Предмет: Алгебра
Издательство: Мектеп
Язык: Русский
Год: 2018
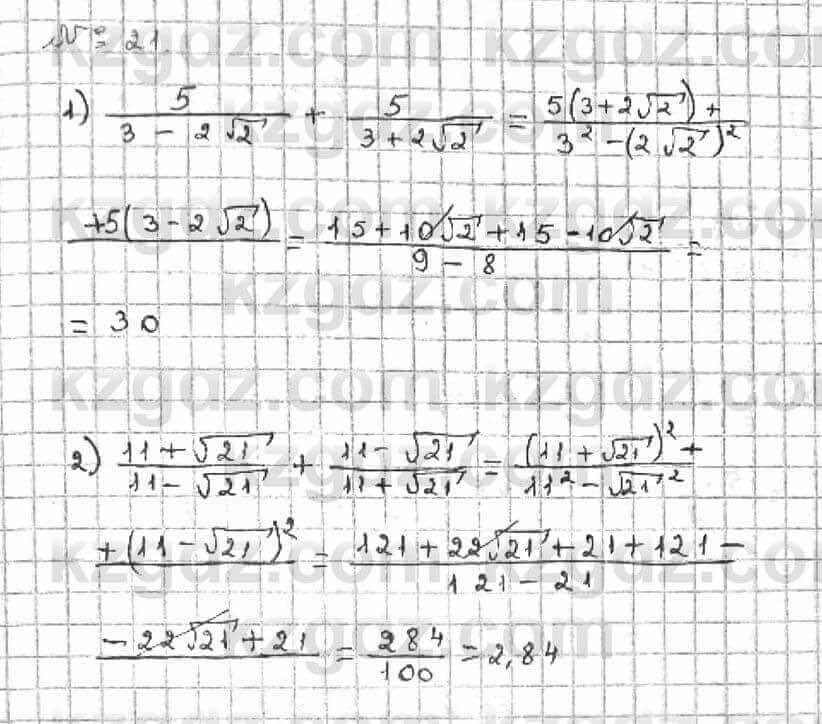
Подробное решение, ответы и гдз Алгебра Абылкасымова 8 класс 2018 Мектеп Упражнения для повторения курса алгебры 8 класса, Итоговое повторение 21. Для школьников из Казахстана, Узбекистана и России.