ГДЗ Алгебра Абылкасымова 8 класс 2018 Упражнение 3.28

Предмет: Алгебра

Издательство: Мектеп

Язык: Русский

Год: 2018

Глава 1. КВАДРАТНЫЕ КОРНИ И ИРРАЦИОНАЛЬНЫЕ ВЫРАЖЕНИЯ, § 3. Свойства арифметического квадратного корня, Упражнение, 3.28

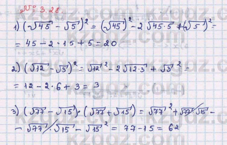
Алгебра Абылкасымова 8 класс 2018 Упражнение 3.281 Алгебра Абылкасымова 8 класс 2018 Упражнение 3.281

Упражнения для повторения курса

Повторение

1 2 3 4 5 6 7 8 9 10 11 12 13 14 15 16 17 18 19 20 21 22 23 24 25 26 27 28 29 30 31 32 33 34 35 36 37 38 39 40 41 42 43 44 45 46 47 48 49 51 53 54 55 56 57 58 59 60 61 62 63 64 65 66 67

Глава 1. КВАДРАТНЫЕ КОРНИ И ИРРАЦИОНАЛЬНЫЕ ВЫРАЖЕНИЯ

§ 1. Действительные числа

Упражнения

1.1 1.2 1.3 1.4 1.5 1.6 1.7 1.8 1.9 1.1 1.11 1.12 1.13

§ 2. Квадратный корень

Упражнения

2.1 2.2 2.3 2.4 2.5 2.6 2.7 2.8 2.9 2.1 2.11 2.12 2.13 2.14 2.15 2.16 2.17 2.18 2.19 2.2 2.21 2.22 2.23

§ 3. Свойства арифметического квадратного корня

Упражнения

3.1 3.2 3.3 3.4 3.5 3.6 3.7 3.8 3.9 3.1 3.11 3.12 3.13 3.14 3.15 3.16 3.17 3.18 3.19 3.2 3.21 3.22 3.23 3.24 3.25 3.26 3.27 3.28 3.29 3.3 3.31 3.32 3.33 3.34 3.35 3.36 3.37 3.38 3.39 3.4

§ 4. Преобразование выражений, содержащих квадратные корни

Упражнения

4.1 4.2 4.3 4.4 4.5 4.6 4.7 4.8 4.9 4.1 4.11 4.12 4.13 4.14 4.15 4.16 4.17 4.18 4.19 4.2 4.21 4.22 4.23 4.24 4.25 4.26 4.27 4.28 4.29 4.3 4.31 4.32 4.33 4.34 4.35 4.36 4.37 4.38 4.39 4.4

§ 5. Функция у = 4х , ее свойства и график

Упражнения

5.1 5.2 5.3 5.4 5.5 5.6 5.7 5.8 5.9 5.1 5.11 5.12 5.14 5.15 5.16 5.17 5.18

Глава 2. КВАДРАТНЫЕ УРАВНЕНИЯ

§ 6. Квадратное уравнение. Виды квадратных уравнений

Упражнения

6.1 6.2 6.3 6.4 6.5 6.6 6.7 6.8 6.9 6.1 6.11 6.12 6.13 6.14 6.15 6.16 6.17 6.18 6.19 6.2 6.21 6.22 6.23 6.24 6.25 6.26 6.27 6.28 6.29 6.3 6.31 6.32

§ 7. Решение квадратных уравнений

Упражнения

7.1 7.2 7.3 7.4 7.5 7.6 7.7 7.8 7.9 7.1 7.11 7.12 7.13 7.14 7.15 7.16 7.17 7.18 7.19 7.2 7.21 7.22 7.23 7.24 7.25 7.26 7.27 7.28 7.29 7.3 7.31 7.32 7.33 7.34 7.35 7.36 7.37 7.38 7.39 7.4 7.41

§ 8. Теорема Виета

Упражнения

8.1 8.2 8.3 8.4 8.5 8.6 8.7 8.8 8.9 8.1 8.11 8.12 8.13 8.14 8.15 8.16 8.17 8.18 8.19 8.2 8.21 8.22 8.23 8.24 8.25 8.27 8.28 8.29 8.3 8.31 8.32 8.33 8.34 8.35 8.36 8.37 8.38 8.39 8.4 8.41 8.42 8.43 8.44 8.45 8.47 8.48

§ 9. Квадратный трехчлен

Упражнения

9.1 9.2 9.3 9.4 9.5 9.6 9.7 9.8 9.9 9.1 9.11 9.12 9.13 9.14 9.15 9.16 9.17 9.18 9.19 9.2 9.21 9.22 9.23 9.24 9.25 9.26 9.27 9.28 9.29 9.3 9.31 9.32 9.33 9.34 9.35 9.36 9.37 9.38 9.39 9.4

§ 10. Дробно-рациональные уравнения

Упражнения

10.1 10.2 10.3 10.4 10.5 10.6 10.7 10.8 10.9 10.1 10.11 10.12 10.13 10.14 10.15 10.16 10.17 10.18 10.19 10.2 10.21 10.22 10.23 10.24 10.25 10.26 10.27 10.28 10.29 10.3 10.31 10.32 10.33 10.34 10.35 10.36 10.37 10.38 10.39 10.4 10.41 10.42 10.43 10.44 10.45 10.46 10.47 10.48

§11. Уравнения, приводящиеся к квадратным уравнениям

Упражнения

11.1 11.2 11.3 11.4 11.5 11.6 11.7 11.8 11.9 11.1 11.11 11.12 11.13 11.14 11.15 11.16 11.17 11.18 11.19 11.2 11.21 11.22 11.23 11.24 11.25 11.26 11.27 11.28 11.29 11.3 11.31 11.32 11.33 11.34 11.35 11.36 11.37 11.38 11.39 11.4 11.41 11.42

§12. Решение текстовых задач с помощью квадратного уравнения

Упражнения

12.1 12.2 12.3 12.4 12.5 12.6 12.7 12.8 12.9 12.1 12.11 12.12 12.13 12.14 12.15 12.16 12.17 12.18 12.19 12.2 12.21 12.22 12.23 12.24 12.25 12.26 12.27 12.28 12.29 12.3 12.32 12.33 12.34 12.35

Глава 3. КВАДРАТИЧНАЯ ФУНКЦИЯ

§ 13. Квадратичная функция

Упражнения

13.1 13.2 13.3 13.4 13.5 13.6 13.7 13.8 13.9 13.1 13.11 13.12 13.13 13.14 13.15 13.16 13.17 13.18 13.19 13.2 13.21 13.22 13.23 13.24 13.25 13.26 13.27 13.28 13.29 13.3

§ 14. Функция у = ах + Ьх + с, а * 0, ее свойства и график

Упражнения

14.1 14.2 14.3 14.4 14.5 14.6 14.7 14.8 14.9 14.1 14.11 14.12 14.13 14.14 14.15 14.16 14.17 14.18 14.19 14.2 14.21 14.22 14.23 14.24 14.25 14.26 14.27 14.28 14.29 14.3 14.31 14.32 14.33 14.34 14.35 14.36 14.37 14.38 14.39 14.4 14.41 14.42 14.43 14.44 14.45 14.46 14.47 14.48 14.49

Глава 4. ЭЛЕМЕНТЫ СТАТИСТИКИ

§ 15. Интервальная таблица. Гистограмма

Упражнения

15.1 15.2 15.3 15.4 15.5 15.6 15.7 15.8 15.9 15.1 15.11

§ 16. Накопленная частота

Упражнения

16.1 16.2 16.3 16.4 16.5 16.6 16.7 16.8 16.9 16.1 16.11 16.12

§17. Среднее значение. Дисперсия. Стандартное отклонение

Упражнения

17.1 17.2 17.3 17.4 17.5 17.6 17.7 17.8 17.9 17.1 17.11 17.12 17.13 17.14

Глава 5. НЕРАВЕНСТВА

§18. Квадратное неравенство. Решение квадратного неравенства с помощью графика квадратичной функции

Упражнения

18.1 18.2 18.3 18.4 18.5 18.6 18.7 18.8 18.9 18.1 18.11 18.12 18.13 18.14 18.15 18.16 18.17 18.18 18.19 18.2 18.21 18.22 18.23

§19. Рациональное неравенство. Метод интервалов

Упражнения

19.1 19.2 19.3 19.4 19.5 19.6 19.7 19.8 19.9 19.1 19.11 19.12 19.13 19.14 19.15 19.16 19.17 19.18 19.19 19.2 19.21 19.22 19.23 19.24 19.25 19.26 19.27 19.28 19.29 19.3 19.31 19.32

§ 20. Системы нелинейных неравенств с одной переменной

Упражнения

20.1 20.2 20.3 20.4 20.5 20.6 20.7 20.8 20.9 20.1 20.11 20.12 20.13 20.14 20.15 20.16 20.17 20.18 20.19 20.2

Упражнения для повторения курса алгебры 8 класса

Итоговое повторение

1 2 3 4 5 6 7 8 9 10 11 12 13 14 15 16 17 18 19 20 21 22 23 24 25 26 27 28 29 30 31 32 33 34 35 36 37 38 39 40 41 42 43 44 45 46 47 48 49 50 51 52 53 54 55 56 57 58 59 60 61 62 63 64 65 66 67 68 69 70 71 72 73 74 75 76 77 78 79 80 81 82 83 84 85 86 87